






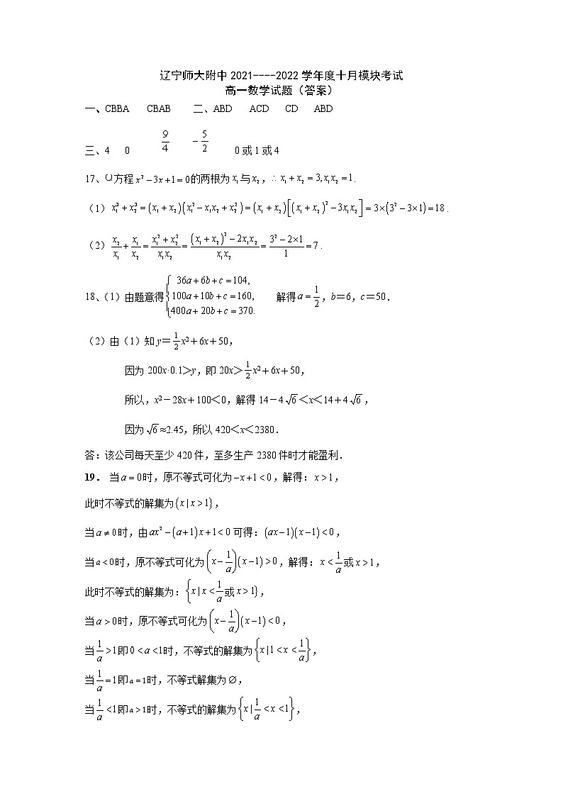
辽宁师大附中2021-2022学年高一上学期10月模块考试数学含答案
展开辽宁师大附中2021----2022学年度十月模块考试
高一数学试题
考试时间:120分钟 满分:150分
第 Ⅰ 卷 选择题(共60分)
一、单选题:本题共8个小题,每小题5分,共40分。
1.已知集合,,则 ( )
A. B. C. D.
2.下列叙述正确的是 ( )
A.集合{x|x<3,x∈N}中只有两个元素 B.{x|x2-2x+1=0}={1}
C.整数集可表示为{Z} D.有理数集表示为{x|x为有理数集}
3.用分析法证明“欲使①,只需②”,这里①是②的( ).
A.充分条件 B.必要条件
C.充要条件 D.既不充分也不必要条件
4.集合M={x|x=(2k+1),k∈Z},N={x|x=±,k∈Z},则集合M与N的关系为 ( )
A.M=N B.M ⫋N C.N ⫋M D.M与N关系不确定
5.已知集合的所有非空真子集的元素之和等于,则 ( )
A.1 B.2 C.3 D.6
6.若a>b>0,则下列不等式成立的是 ( )
A.a>b B.a b
C.a D.
7.若函数对任意有恒成立,则实数的取值范围为 ( )
A. B. C. D.
8.若关于的不等式在区间内有解,则实数a的取值范围是 ( )
A. B. C. D.
二、多选题:本题共4个小题,每小题5分,共20分。每小题选项全部答对的得5分,部分答对的得3分,有选错的得0分.
9.已知集合,且,则实数的可能值为( )
A. B. C. D.
10.设集合,,,,则下列选项中,满足的实数的取值范围可以是( )
A. B. C. D.
11.定义集合A的真子集的非空真子集为集合A的孙集,设集合1,2,,则A的孙集可以是( )
A. B.2, C. D.
12.由无理数引发的数学危机一直延续到19世纪,直到1872年,德国数学家戴德金从连续性的要求出发,用有理数的“分割”来定义无理数史称戴德金分割,并把实数理论建立在严格的科学基础上,才结束了无理数被认为“无理”的时代,也结束了持续2000多年的数学史上的第一次大危机.所谓戴德金分割,是指将有理数集Q划分为两个非空的子集M与N,且满足,,M中的每一个元素都小于N中的每一个元素,则称为戴德金分割.试判断,对于任一戴德金分割,下列选项中,可能成立的是( )
A.M没有最大元素,N有一个最小元素
B.M没有最大元素,N也没有最小元素
C.M有一个最大元素,N有一个最小元素
D.M有一个最大元素,N没有最小元素
第 Ⅱ 卷 非选择题(共60分)
三、填空题:本题包括4小题,共20分。
13.若集合,,,,且,则实数,的值分别是________,________.
14.已知,则是的最小值为________.
15.若关于的不等式的解集为,则的值为________.
16.若一个集合是另一个集合的子集,称两个集合构成“全食”;若两个集合有公共元素,但互不为对方子集,则称两个集合构成“偏食”.对于集合,对于集合,若两个集合构成“全食”或“偏食”,则的值为___________.
四、解答题:本题包括6道题,共70分。
17.(10分)已知方程的两根为与,求下列各式的值:
(1); (2).
18.(12分)已知某公司每天生产的某种产品的数量x (单位:百件)与其成本y (单位:千元)之间的函数解析式要可以近似地用y=ax2+bx+c表示,其中a,b,c为常数.现有实际统计数据如下表所示:
产品数量x/百件 | 6 | 10 | 20 |
成本y/千元 | 104 | 160 | 370 |
(1)求a,b,c的值;
(2)若每件产品销售价为200元,则该公司每天生产多少产品时才能盈利?(假设每天生产的产品可以全部售完,≈2.45).
19.(12分)解下列一元二次不等式:.
20.(12分)设,,或求:
(1); (2);
(3)若,且,求实数a的取值范围.
21.(12分)已知集合,.
(1)若,且,求实数及的值;
(2)在(1)的条件下,若关于的不等式组没有实数解,求实数的取值范围;
(3)若,且关于的不等式;的解集为,求实数的取值范围.
22.(12分)已知集合(为实数).
(1)求;(2)若,求的值;
(3)若,实数的取值范围.
辽宁师大附中2021-2022学年高一下学期5月模块考试 数学 Word版含答案: 这是一份辽宁师大附中2021-2022学年高一下学期5月模块考试 数学 Word版含答案,共11页。试卷主要包含了选择题,填空题,解答题等内容,欢迎下载使用。
辽宁师大附中2021-2022学年高二下学期5月模块考试 数学 Word版含答案: 这是一份辽宁师大附中2021-2022学年高二下学期5月模块考试 数学 Word版含答案,共10页。试卷主要包含了单选题,多选题,填空题,解答题等内容,欢迎下载使用。
2021-2022学年辽宁师大附中高二下学期5月模块考试数学含答案: 这是一份2021-2022学年辽宁师大附中高二下学期5月模块考试数学含答案,共10页。试卷主要包含了单选题,多选题,填空题,解答题等内容,欢迎下载使用。