所属成套资源:【一隅三反】2022年高考数学一轮复习(新高考地区专用)
3.1 函数的定义域(精讲+精练+原卷+解析)
展开
这是一份3.1 函数的定义域(精讲+精练+原卷+解析),共16页。主要包含了具体函数定义域求法,抽象函数定义域求法等内容,欢迎下载使用。
常见考法
考法一 具体函数定义域求法
【例1-1】(2021·浙江高三学业考试)函数的定义域是( )
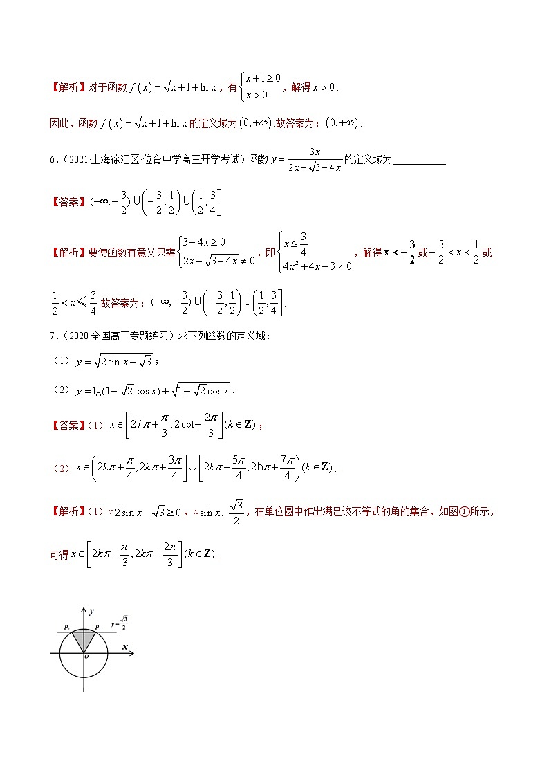
A.B.
C.D.
【例1-2】(2021·全国高三专题练习)若集合,函数的定义域为B,则( )
A.B.C.D.
【一隅三反】
1.(2021·兴义市第二高级中学)函数的定义域为( )
A.B.C.D.
2.(2021·银川市·宁夏银川二十四中)函数的定义域为___________.
3.(2020·甘肃武威市·武威十八中高三月考)函数的定义域是( )
A.[-1,4]B.(-1,4]C.[2,4]D.(2,4]
考法二 抽象函数定义域求法
【例2】(2021··全国高三专题练习)(1)已知函数f(x)的定义域是[1,5],求函数f(x2+1)的定义域.
(2)已知函数f(2x2-1)的定义域是[1,5],求f(x)的定义域.
【方法总结】
1.抽象函数求定义域解题思路:对应法则不变,括号内等范围
2.定义域求解口诀
定义域是何意,自变量有意义;分式分母不为0,对数真数只取正;
偶次根式要非负,三者高考最常考;和差积商定义域,不等式组求交集;
抽象函数定义域,对应法则内相同。
【一隅三反】
1.(2021·新疆实验)已知函数定义域是,则的定义域是( )
A.B.C.D.
2.(2020·黑龙江牡丹江市·牡丹江一中)已知函数f(x)的定义域为[3,6],则函数y=的定义域为( )
A.[,+∞)B.[,2)
C.(,+∞)D.[,2)
3.(2021·天津市第一中学滨海学校)设,则的定义域为_______.
考法三 根据定义域求参数
【例3-1】(2020·全国高三专题练习)若函数的定义域为,则实数的取值范围是( )
A.B.C.D.
【例3-2】(2021年广东潮州)已知函数的定义域为,则实数的取值范围是( )
A.B.C.D.
【方法总结】
1.不等式的解是全体实数(或恒成立)的条件是:
当时,;
当时,;
2.不等式的解是全体实数(或恒成立)的条件是
当时,;
当时,.
【一隅三反】
1.(2020·全国高三专题练习)若函数f(x)=的定义域为R,则a的取值范围为________.
2.(2020·全国高三专题练习)已知函数的定义域是,则的展开式中的系数是____.
3.(2020·全国高三专题练习)已知函数的定义域是,则实数的取值范围是________.

