还剩80页未读,
继续阅读
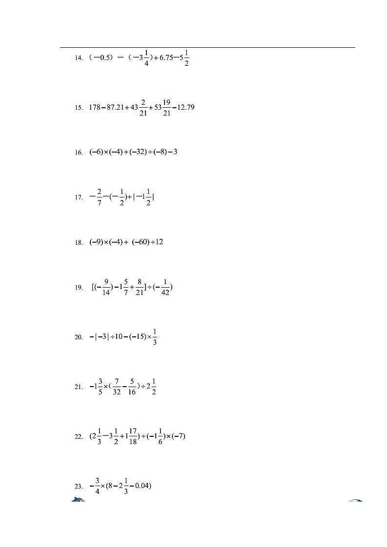
2020-2021学年1.2 有理数综合与测试当堂检测题
展开
这是一份2020-2021学年1.2 有理数综合与测试当堂检测题,共83页。
相关试卷
初中人教版1.2.1 有理数课后作业题:
这是一份初中人教版1.2.1 有理数课后作业题,共22页。
初中数学人教版七年级上册1.2.1 有理数当堂达标检测题:
这是一份初中数学人教版七年级上册1.2.1 有理数当堂达标检测题,共17页。
人教版七年级上册第一章 有理数1.2 有理数1.2.1 有理数同步测试题:
这是一份人教版七年级上册第一章 有理数1.2 有理数1.2.1 有理数同步测试题,共14页。

