高中数学人教A版 (2019)必修 第一册5.6 函数 y=Asin( ωx + φ)授课课件ppt
展开
这是一份高中数学人教A版 (2019)必修 第一册5.6 函数 y=Asin( ωx + φ)授课课件ppt,共31页。PPT课件主要包含了情景引入,新知导学,知识点拨,『规律方法』,〔跟踪练习1〕,〔跟踪练习2〕,〔跟踪练习3〕等内容,欢迎下载使用。
某商场销售一批名牌衬衫,平均每天可售出20件,每件盈利40元,为了扩大销售,增加盈利,尽快减少库存,商场决定采取适当降价措施.经调查发现,如果每件衬衫每降价1元,商场平均每天多售出2件.于是商场经理决定每件衬衫降价15元.那么经理的决定正确吗?这需要把实际问题转化为数学问题用函数模型来解决.
(1)用已知的函数模型刻画实际问题;(2)建立恰当的函数模型,并利用所得函数模型解释有关现象,对某些发展趋势进行预测.其基本过程如图所示.
巧记函数建模过程;收集数据,画图提出假设;依托图表,理顺数量关系;抓住关键,建立函数模型;精确计算,求解数学问题;回到实际,检验问题结果.
命题方向1 ⇨一次函数与分段函数模型问题
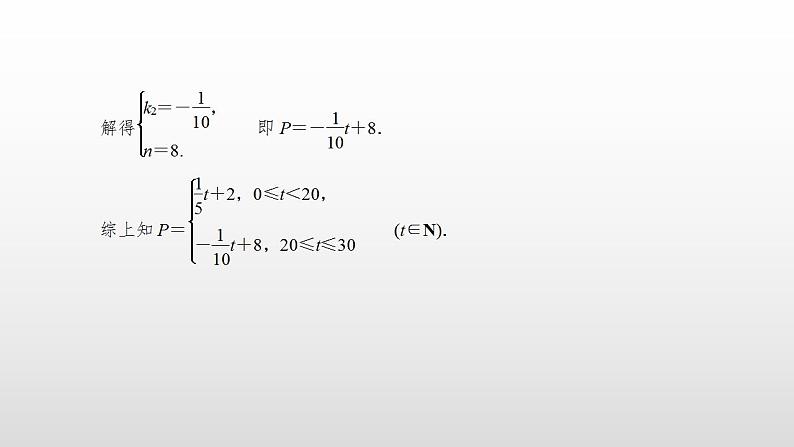
典例1 某上市股票在30天内每股的交易价格P(元)与时间t(天)组成有序数对(t,P),点(t,P)落在下图中的两条线段上.该股票在30天内(包括30天)的日交易量Q(万股)与时间t(天)的部分数据如下表所示:
(1)根据图象提供的信息,写出该种股票每股的交易价格P(元)与时间t(天)所满足的函数关系式;(2)根据表中数据确定日交易量Q(万股)与时间t(天)的一次函数关系式;(3)用y(万元)表示该股票日交易额,写出y关于t的函数关系式,并求出这30天中第几天日交易额最大,最大值为多少?
1.解答函数在实际问题中的应用题目,应认真读题、审题,弄清题意,明确题目中的数量关系,可充分借助图象,表格信息确定解析式,同时要特别注意定义域.2.在构造分段函数时,要力求准确、简捷,做到分段合理,不漏不重.同时求分段函数的最值时,应在每一段上分别求出各自的最值.然后比较哪一个最大(小)取哪一个.
某家报刊销售点从报社买进报纸的价格是每份0.35元,卖出的价格是每份0.50元,卖不掉的报纸还可以每份0.08元的价格退回报社.在一个月(30天)里,有20天每天可以卖出400份,其余10天每天只能卖出250份,设每天从报社买进的报纸数量相同,则应该每天从报社买进多少份,才能使每月所获的利润最大?该销售点一个月最多可赚得多少元?
[解析] 设每天从报社买进x份报纸,易知250≤x≤400,设每月赚y元,则y=0.5x×20+0.5×250×10+(x-250)×0.08×10-0.35x×30=0.3x+1050,x∈[250,400].因为y=0.3x+1050是定义域上的增函数,所以当x=400时,ymax=120+1050=1170(元).故每天从报社买400份报纸时,所获的利润最大,每月可赚1170元.
命题方向2 ⇨二次函数模型问题
典例2 某租赁公司拥有汽车100辆,当每辆车的月租金为3000元时,可全部租出,当每辆车的月租金每增加50元时,未租出的车将会增加一辆,租出的车每辆每月需要维护费150元,未租出的车每辆每月需要维护费50元.(1)当每辆车的月租金为3600元时,能租出多少辆车?(2)当每辆车的月租金定为多少元时,租赁公司的月收益最大?最大月收益是多少元?
[思路分析] (1)本题首先是建立月收益函数解析式,然后运用配方法来求最大值,其中应注意无论是租出还是未租出的汽车均需要维护费.
在函数模型中,二次函数模型占有重要的地位.根据实际情况,列出函数解析式,可利用配方法、判别式法、换元法、函数的单调性等方法来求函数的最值,从而解决实际问题中的最大、最小等问题.
命题方向3 ⇨指数型、对数型函数模型应用问题
典例3 医学上为研究传染病传播中病毒细胞的发展规律及其预防,将病毒细胞注入一只小白鼠体内进行实验,经验测,病毒细胞的总数与天数的数据记录如下表.
已知该种病毒细胞在小白鼠体内的个数超过108的时候,小白鼠将会死亡.如注射某种药物,可杀死其体内该病毒细胞的98%.(1)为了使小白鼠在实验过程中不死亡,第一次最迟应在何时注射该种药物?(答案精确到天,lg2=0.301 0)(2)第二次最迟应在何时注射该种药物,才能维持小白鼠的生命?(只列出相关的关系式即可,不要求求解)
指数函数的应用型问题已经进入各级各类考试中,一般地,在读懂题意的基础上,提炼指数函数模型,在解决实际问题中,涉及运算问题常转化为对数运算问题,要求同学们有一定的运算能力.
忽视实际问题对定义域的限制致误
典例4 生产一定数量的商品的全部费用称为生产成本,它可以表示为商品数量的函数.现知一企业生产某种商品的数量为x(件)时的成本函数为y=10+2x+2x2(万元),如果售出一件商品的价格是20万元,那么该企业所能获取的最大利润是多少?
忽视实际问题对定义域的限制致误
[错解] 设该企业所能获取的最大利润为z万元,则z=20x-(10+2x+2x2),即z=-2x2+18x-10=-2(x-4.5)2+30.5,故z的最大值为30.5,即该企业所能获取的最大利润为30.5万元.[错因分析] 题目中的条件已经暗示了x为自然数,而该错解中却是在x=4.5时取到的最大值30.5,这种情况在实际中是无法操作的.
[正解] 设该企业所能获取的最大利润为z万元,则z=20x-(10+2x+2x2)(x∈N),即z=-2x2+18x-10=-2(x-4.5)2+30.5,故当x=4或5时,z取最大值30,即该企业生产4件或5件商品时所取得的利润最大,为30万元.
建模思想——函数模型的确定
典例5 某地政府招商引资,为吸引外商,决定第一年产品免税.某外资厂该年A型产品出厂价为每件60元,年销售量为11.8万件,第二年,当地政府开始对该商品征收税率为p%(0
相关课件
这是一份人教A版 (2019)必修 第一册4.5 函数的应用(二)说课ppt课件,共20页。
这是一份数学必修 第一册4.5 函数的应用(二)课前预习ppt课件,共26页。PPT课件主要包含了新知初探·课前预习,答案D,答案B,题型探究·课堂解透等内容,欢迎下载使用。
这是一份人教A版 (2019)必修 第一册4.5 函数的应用(二)多媒体教学课件ppt,文件包含453pptx、453DOC等2份课件配套教学资源,其中PPT共37页, 欢迎下载使用。

