还剩60页未读,
继续阅读
2022新高考数学(江苏专用)一轮总复习课件:第二章+第1讲 相等关系与不等关系
展开
这是一份2022新高考数学(江苏专用)一轮总复习课件:第二章+第1讲 相等关系与不等关系,共60页。
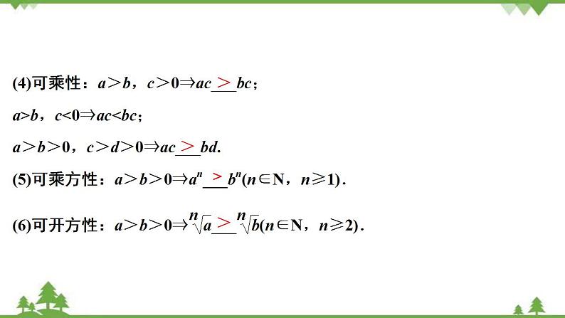
数学第二章 不等式第1讲 相等关系与不等关系√√√√√√√√√√√√√√√√√√√√√√√√√√√√本部分内容讲解结束按ESC键退出全屏播放
相关课件
高中数学湘教版(2019)必修 第一册2.1 相等关系与不等关系完整版课件ppt:
这是一份高中数学湘教版(2019)必修 第一册2.1 相等关系与不等关系完整版课件ppt,共19页。PPT课件主要包含了情境导学,探究新知,即时巩固,不等式的性质,随堂小测等内容,欢迎下载使用。
人教B版高考数学一轮总复习4相等关系与不等关系习题课件:
这是一份人教B版高考数学一轮总复习4相等关系与不等关系习题课件,共26页。PPT课件主要包含了A组全考点巩固练,B组新高考培优练等内容,欢迎下载使用。
人教B版高考数学一轮总复习第1章第4节相等关系与不等关系课件:
这是一份人教B版高考数学一轮总复习第1章第4节相等关系与不等关系课件,共60页。

