2022届新高考数学人教版一轮课件:第七章 第二节 空间几何体的表面积与体积
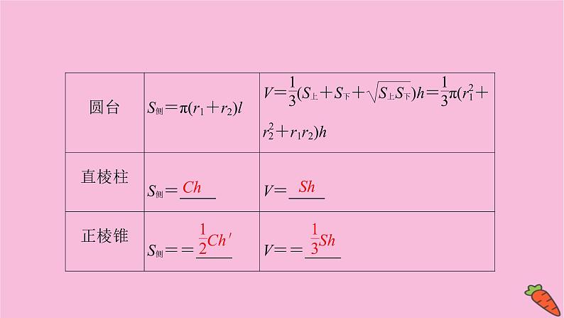
展开知识点 柱、锥、台和球的面积和体积1.柱、锥、台和球的侧面积和体积
2.几何体的表面积(1)棱柱、棱锥、棱台的表面积就是 .(2)圆柱、圆锥、圆台的侧面展开图分别是 、 、 ;它们的表面积等于 与底面面积之和.
必明易错1.求组合体的表面积时,组合体的衔接部分的面积问题易出错.2.易混侧面积与表面积的概念.
1.体积为8的正方体的顶点都在同一球面上,则该球的表面积为( )A.12π B.πC.8πD.4π
2.已知圆柱的上、下底面的中心分别为O1,O2,过直线O1O2的平面截该圆柱所得的截面是面积为8的正方形,则该圆柱的表面积为________.答案:12π
题型一 空间几何体的表面积 自主探究1.一个圆台的母线长等于上、下底面半径和的一半且侧面积是32π,则母线长为( )A.2 B.2C.4D.8
解析:如图所示,正方体的A′、C′、D、B的四个顶点可构成一个正四面体,设正方体边长为a,
空间几何体表面积的求法(1)多面体的表面积是各个面的面积之和;组合体的表面积注意衔接部分的处理.(2)旋转体的表面积问题注意其侧面展开图及轴截面的应用.
3.(2021·八省联考模拟卷)圆台上、下底面的圆周都在一个直径为10的球面上,其上、下底面半径分别为4和5,则该圆台的体积为________.
求空间几何体的体积的常用方法(1)公式法:对于规则几何体的体积问题,可以直接利用公式进行求解.(2)割补法:把不规则的图形分割成规则的图形,然后进行体积计算;或者把不规则的几何体补成规则的几何体,不熟悉的几何体补成熟悉的几何体,便于计算其体积.
(3)等体积法:一个几何体无论怎样转化,其体积总是不变的.如果一个几何体的底面面积和高较难求解时,我们可以采用等体积法进行求解.等体积法也称等积转化或等积变形,它是通过选择合适的底面来求几何体体积的一种方法,多用来解决有关锥体的体积,特别是三棱锥的体积.
题型三 与球有关的切、接问题 多维探究与球相关的切、接问题是高考命题的热点,也是考查的难点、易失分点,命题角度多变.归纳起来,常见的命题角度有:(1)外接球问题;(2)内切球问题.
考法(二) 内切球问题[例2] (1)(2020·高考全国卷Ⅲ)已知圆锥的底面半径为1,母线长为3,则该圆锥内半径最大的球的体积为________.(2)已知棱长为a的正四面体,则此正四面体的表面积S1与其内切球的表面积S2的比值为________.
解决与球有关的切、接问题,其通法是作截面,将空间几何问题转化为平面几何问题求解,其解题的思维流程是:
直观想象——确定球心位置的策略方法决定球的几何要素是球心的位置和球的半径,在球与其他几何体的结合问题中,通过位置关系的分析,找出球心所在的位置是解题的关键,不妨称这个方法为球心位置分析法.策略一 利用球的定义确定球心
[素养解读] 若一个多面体的各顶点都在一个球的球面上,则称这个多面体是这个球的内接多面体,这个球是这个多面体的外接球.也就是说如果一个定点到一个简单多面体的所有顶点的距离都相等,那么这个定点就是该简单多面体外接球的球心.(1)长方体或正方体的外接球的球心是其体对角线的中点;(2)正三棱柱的外接球的球心是上、下底面中心连线的中点;(3)直三棱柱的外接球的球心是上、下底面三角形外心连线的中点;
(4)正棱锥的外接球球心在其高上,具体位置可通过建立直角三角形运用勾股定理计算得到;(5)若棱锥的顶点可构成共斜边的直角三角形,则公共斜边的中点就是其外接球的球心.[例1] 已知各顶点都在同一个球面上的正四棱柱的高为4,体积为16,则这个球的表面积是( )A.16π B.20πC.24πD.32π
策略二 构造长方体或正方体确定球心[素养解读] (1)正四面体、三条侧棱两两垂直的正三棱锥、四个面都是直角三角形的三棱锥,可将三棱锥补形成长方体或正方体;(2)同一个顶点上的三条棱两两垂直的四面体、相对的棱相等的三棱锥,可将三棱锥补形成长方体或正方体;(3)若已知棱锥含有线面垂直关系,则可将棱锥补形成长方体或正方体;(4)若三棱锥的三个侧面两两垂直,则可将三棱锥补形成长方体或正方体.
策略三 利用球的几何性质确定球心[素养解读] 利用球心O与截面圆圆心O′的连线垂直于截面圆及球心O与弦中点的连线垂直于弦的性质,确定球心.
高考数学(文数)一轮复习课件 第七章 立体几何 第二节 空间几何体的表面积与体积(含详解): 这是一份高考数学(文数)一轮复习课件 第七章 立体几何 第二节 空间几何体的表面积与体积(含详解),共26页。
2022届高考数学理一轮复习新人教版课件:第七章立体几何第二节空间点直线平面之间的位置关系: 这是一份2022届高考数学理一轮复习新人教版课件:第七章立体几何第二节空间点直线平面之间的位置关系,共60页。PPT课件主要包含了不在一条直线上,有且只有一条,任何一个平面,互相平行,相等或互补,锐角或直角,a∩α=A,a∥α,a⊂α,α∥β等内容,欢迎下载使用。
高中人教版新课标A第一章 空间几何体1.3 空间几何体的表面积与体积复习课件ppt: 这是一份高中人教版新课标A第一章 空间几何体1.3 空间几何体的表面积与体积复习课件ppt,共51页。PPT课件主要包含了各面面积,扇环形,侧面积,与底面面积之和,题型分类深度剖析,答案A,思想方法感悟提高,定时检测,答案D等内容,欢迎下载使用。

