高中数学第三章变化率与导数3.4导数的四则运算法则训练含解析北师大版选修1_1
展开§4 导数的四则运算法则
A组
1.若f(x)=,则f'(-1)=( )
A. B.- C. D.-
解析:因为f(x)=,所以f'(x)=-,
所以f'(-1)=-×(-1=-.
答案:D
2.已知f(x)=ax3+3x2+2,若f'(-1)=4,则a的值是 ( )
A. B. C. D.
解析:因为f'(x)=3ax2+6x,所以f'(-1)=3a-6,所以3a-6=4,故a=.
答案:D
3.已知点P在曲线y=2sincos上,α为曲线在点P处的切线的倾斜角,则α的取值范围是( )
A. B.
C. D.
解析:∵y=2sincos=sinx,∴y'=cosx.设P(x0,y0),
由题意,知切线的斜率存在,则曲线在点P处的切线的斜率为tanα=cosx0,∴-1≤tanα≤1.
∵0≤α<π,∴α∈,故选D.
答案:D
4.若函数f(x)=f'(1)x3-2x2+3,则f'(1)的值为( )
A.0 B.-1 C.1 D.2
解析:因为f(x)=f'(1)x3-2x2+3,所以f'(x)=3f'(1)x2-4x,所以f'(1)=3f'(1)-4,所以f'(1)=2.
答案:D
5.已知点P在曲线y=上,α为曲线在点P处的切线的倾斜角,则α的取值范围是 .
解析:∵y=,∴y'=<0.
∵=-=-≥-=-1,
当且仅当x=0时取等号,∴-1≤y'<0.
∴-1≤tanα<0,即≤α<π.
答案:
6.曲线y=在点(-1,-1)处的切线方程为 .
解析:由y=,得y'=,
所以所求切线的斜率为2,故所求切线方程为y-(-1)=2(x+1),即2x-y+1=0.
答案:2x-y+1=0
7.若f(x)=cos2-sin2+tan,则f'= .
解析:∵f(x)=cosx+,∴f'(x)=-sinx,
∴f'=-sin=-.
答案:-
8.求下列函数的导数.
(1)y=xcos x-sin x;
(2)y=x-sincos;
(3)y=.
解(1)∵y=xcosx-sinx,
∴y'=(xcosx)'-(sinx)'=cosx-xsinx-cosx=-xsinx.
(2)∵y=x-sincos=x-sinx,
∴y'='=x'-(sinx)'=1-cosx.
(3)∵y=,∴y'='=.
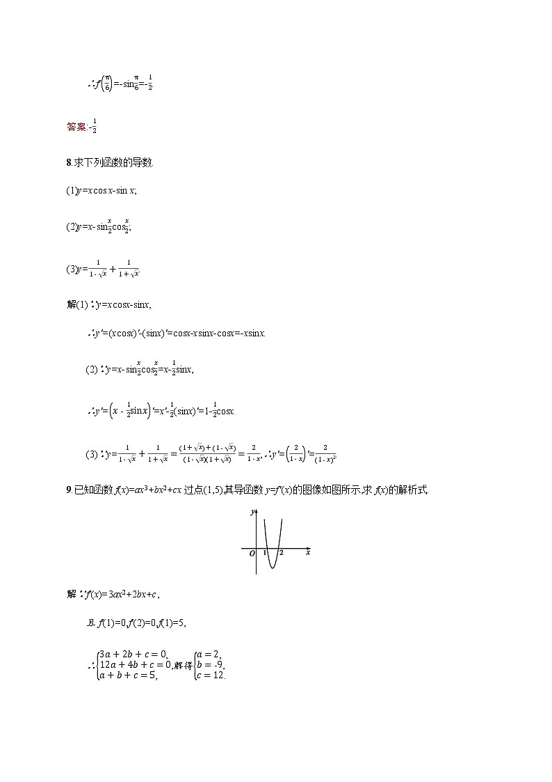
9.已知函数f(x)=ax3+bx2+cx过点(1,5),其导函数y=f'(x)的图像如图所示,求f(x)的解析式.
解∵f'(x)=3ax2+2bx+c,
且f'(1)=0,f'(2)=0,f(1)=5,
∴解得
∴函数y=f(x)的解析式为f(x)=2x3-9x2+12x.
B组
1.已知f(x)=x-5+3sin x,则f'(x)等于( )
A.-5x-6-3cos x B.x-6+3cos x
C.-5x-6+3cos x D.x-6-3cos x
解析:y'=-5x-6+3cosx.
答案:C
2.函数f(x)=的导数是( )
A.(x>0) B.
C. D.
解析:f(x)=,∴f'(x)=.
答案:C
3.函数f(x)的导函数为f'(x),且满足f(x)=2xf'(e)+ln x,则f'(e)等于( )
A.e-1 B.-1 C.-e-1 D.-e
解析:∵f(x)=2xf'(e)+lnx,
∴f'(x)=2f'(e)+,
∴f'(e)=2f'(e)+,
解得f'(e)=-,故选C.
答案:C
4.若曲线f(x)=acos x与曲线g(x)=x2+bx+1在交点(0,m)处有公切线,则a+b= .
解析:f'(x)=-asinx,g'(x)=2x+b,∵曲线f(x)=acosx与曲线g(x)=x2+bx+1在交点(0,m)处有公切线,∴f(0)=a=g(0)=1,且f'(0)=0=g'(0)=b,
∴a+b=1.
答案:1
5.导学号01844037已知曲线C:f(x)=x3-ax+a,若过曲线C外一点A(1,0)引曲线C的两条切线,它们的倾斜角互补,则a的值为 .
解析:函数f(x)的导数f'(x)=3x2-a.
过直线外A(1,0)作曲线C的切线.
设切点(x0,f(x0)),
则切线方程为y=(3-a)(x-1),
将(x0,f(x0))代入得f(x0)=-ax0+a,
即2-3=0,解得x0=0或x0=.
故满足条件的切线有两条,且它们的斜率分别为-a与-a.
因为两条切线的倾斜角互补,所以-a+-a=0,
故a=.
答案:
6.求下列函数的导数.
(1)y=;
(2)y=-sin.
解(1)y=
=-2,
∴y'='=.
(2)y=-sin·cos=-sinx,
∴y'='=-cosx.
7.导学号01844038已知函数f(x)=x3+x-16.
(1)求曲线y=f(x)在点(2,-6)处的切线的方程;
(2)直线l为曲线y=f(x)的切线,且经过原点,求直线l的方程及切点坐标;
(3)如果曲线y=f(x)的某一切线与直线y=-x+3垂直,求切点坐标与切线的方程.
解(1)∵f'(x)=3x2+1,
∴f(x)在点(2,-6)处的切线的斜率为k=f'(2)=13.
∴切线的方程为13x-y-32=0.
(2)解法一:设切点为(x0,y0),
则直线l的斜率为f'(x0)=3+1,
∴直线l的方程为y=(3+1)(x-x0)++x0-16,又∵直线l过原点(0,0),
∴0=(3+1)(-x0)++x0-16,
整理得,=-8,∴x0=-2,∴y0=-26,k=13.
∴直线l的方程为y=13x,切点坐标为(-2,-26).
解法二:设直线l的方程为y=kx,切点为(x0,y0),
则k=,
又∵k=f'(x0)=3+1,∴=3+1,
解得x0=-2,∴y0=-26,k=13.
∴直线l的方程为y=13x,切点坐标为(-2,-26).
(3)∵切线与直线y=-+3垂直,
∴切线的斜率k=4.
设切点坐标为(x0,y0),则f'(x0)=3+1=4,
∴x0=±1,∴
∴切点坐标为(1,-14)或(-1,-18),切线方程为y=4x-18或y=4x-14,
即4x-y-18=0或4x-y-14=0.
高中数学第四章导数应用4.2导数在实际问题中的应用训练含解析北师大版选修1_1: 这是一份高中数学第四章导数应用4.2导数在实际问题中的应用训练含解析北师大版选修1_1,共10页。试卷主要包含了函数y=f=ln x-x在区间,函数y=f=4xx2+1等内容,欢迎下载使用。
高中数学第四章导数应用4.1.1导数与函数的单调性训练含解析北师大版选修1_1: 这是一份高中数学第四章导数应用4.1.1导数与函数的单调性训练含解析北师大版选修1_1,共10页。试卷主要包含了1 导数与函数的单调性等内容,欢迎下载使用。
高中数学第三章变化率与导数测评训练含解析北师大版选修1_1: 这是一份高中数学第三章变化率与导数测评训练含解析北师大版选修1_1,共11页。试卷主要包含了选择题,填空题,解答题等内容,欢迎下载使用。

