所属成套资源:新教材2022届高考数学人教版一轮复习课件(共63份)
新教材2022届高考数学人教版一轮复习课件:专题突破五.3 证明与探究问题
展开
这是一份新教材2022届高考数学人教版一轮复习课件:专题突破五.3 证明与探究问题,共40页。PPT课件主要包含了课堂·题型讲解,答案8等内容,欢迎下载使用。
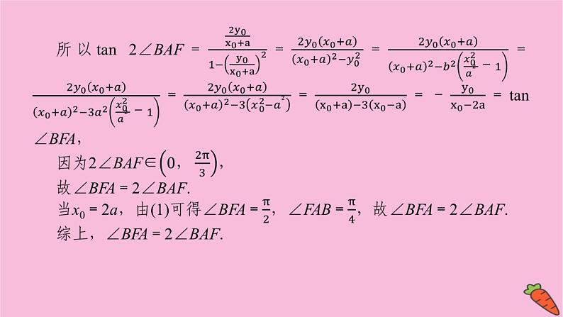
类题通法圆锥曲线证明问题类型及求解策略(1)圆锥曲线中的证明问题,主要有两类:一是证明点、直线、曲线等几何元素中的位置关系,如:某点在某直线上、某直线经过某个点、某两条直线平行或垂直等;二是证明直线与圆锥曲线中的一些数量关系(相等或不等).(2)解决证明问题时,主要根据直线与圆锥曲线的性质、直线与圆锥曲线的位置关系等,通过相关性质的应用、代数式的恒等变形以及必要的数值计算等进行证明.
类题通法探究性问题的思路及策略(1)思路:先假设存在,推满足条件的结论,若结论正确,则存在;若结论不正确,则不存在.(2)策略:①当条件和结论不唯一时要分类讨论;②当给出结论而要推导出存在的条件时,先假设成立,再推出条件.在这个解题思路指导下解决探索性问题与解决具有明确结论的问题没有什么区别.
类题通法定点与定值的探究性问题,一般采用假设法.首先根据所解决的问题设出参数;然后假设定点存在,定值成立,再根据定点与定值问题的解决方法,列出参数所满足的等式关系,则可将探究性问题转化为方程或方程组的解的存在性问题.
巩固训练3:已知点P到直线y=-3的距离比点P到点A(0,1)的距离多2.(1)求点P的轨迹方程;(2)经过点Q(0,2)的动直线l与点P的轨迹交于M,N两点,是否存在定点R使得∠MRQ=∠NRQ?若存在,求出点R的坐标;若不存在,请说明理由.
状 元 笔 记 “设而不求”在解析几何中的应用“设而不求”是简化运算的一种重要手段,它的精彩在于设而不求,化繁为简.解题过程中,巧妙设点,避免解方程组,常见类型有:(1)灵活应用“点、线的几何性质”解题;(2)根据题意,整体消参或整体代入等.
二、中点弦或对称问题,可以利用“点差法”,此法实质上是“设而不求”的一种方法[典例2] (1)△ABC的三个顶点都在抛物线E:y2=2x上,其中A(2,2),△ABC的重心G是抛物线E的焦点,则BC所在直线的方程为________.
(2)抛物线E:y2=2x上存在两点关于直线y=k(x-2)对称,则k的取值范围是________.
四、求解直线与圆锥曲线的相关问题时,若两条直线互相垂直或两直线斜率有明确等量关系,可用“替代法”,此法实质上也是设而不求[典例4] 已知F为抛物线C:y2=2x的焦点,过F作两条互相垂直的直线l1,l2,直线l1与C交于A,B两点,直线l2与C交于D,E两点,则|AB|+|DE|的最小值为________.
相关课件
这是一份新教材(广西专版)高考数学一轮复习解答题专项五第3课时证明与探究问题课件,共44页。
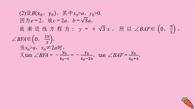
这是一份高中数学高考2022届高考数学一轮复习(新高考版) 第8章 高考专题突破五 第3课时 证明与探索性问题课件PPT,共49页。PPT课件主要包含了题型一证明问题,1求C的离心率,设∠BAF=θ,题型二探索性问题,课时精练等内容,欢迎下载使用。
这是一份新教材2022届高考数学人教版一轮复习课件:专题突破五.2 最值与范围问题,共17页。PPT课件主要包含了课堂·题型讲解等内容,欢迎下载使用。

