人教A版 (2019)必修 第一册5.4 三角函数的图象与性质课文课件ppt
展开第五章 三角函数5.4 三角函数的图象与性质5.4.2 正弦函数、余弦函数的性质第2课时 单调性与最值12345678910111213141516171819202122232425262728293031323334353637383940点击右图进入…41Thank you for watching !42
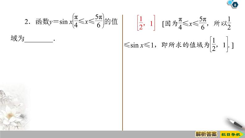
数学必修 第一册5.4 三角函数的图象与性质教课内容课件ppt: 这是一份数学必修 第一册5.4 三角函数的图象与性质教课内容课件ppt,共37页。PPT课件主要包含了-11,kπk∈Z,π+2kπk∈Z等内容,欢迎下载使用。
数学必修 第一册5.4 三角函数的图象与性质集体备课ppt课件: 这是一份数学必修 第一册5.4 三角函数的图象与性质集体备课ppt课件,共43页。
高中数学人教A版 (2019)必修 第一册5.4 三角函数的图象与性质图文课件ppt: 这是一份高中数学人教A版 (2019)必修 第一册5.4 三角函数的图象与性质图文课件ppt,共44页。PPT课件主要包含了情境导学·探新知,NO1,合作探究·释疑难,NO2,当堂达标·夯基础,NO3等内容,欢迎下载使用。

