还剩22页未读,
继续阅读
所属成套资源:人教版高中数学必修第一册习题课件(含答案)
成套系列资料,整套一键下载
高中数学人教A版 (2019)必修 第一册第三章 函数概念与性质3.2 函数的基本性质背景图课件ppt
展开
这是一份高中数学人教A版 (2019)必修 第一册第三章 函数概念与性质3.2 函数的基本性质背景图课件ppt,共30页。PPT课件主要包含了点击右图进入等内容,欢迎下载使用。
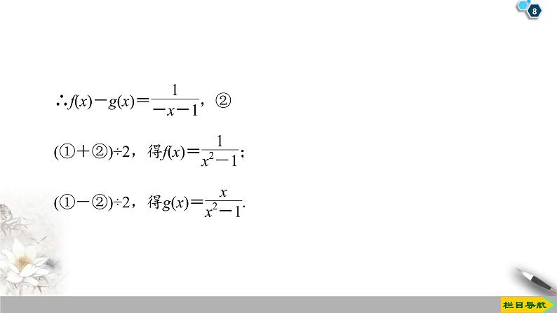
第三章 函数的概念与性质3.2 函数的基本性质 3.2.2 奇偶性第2课时 奇偶性的应用12345678910111213141516171819202122232425262728点击右图进入…29Thank you for watching !30
相关课件
高中数学人教A版 (2019)必修 第一册3.2 函数的基本性质教学演示课件ppt:
这是一份高中数学人教A版 (2019)必修 第一册3.2 函数的基本性质教学演示课件ppt,共27页。PPT课件主要包含了f-x=fx,增函数,最小值-M等内容,欢迎下载使用。
高中数学人教A版 (2019)必修 第一册3.2 函数的基本性质课文内容ppt课件:
这是一份高中数学人教A版 (2019)必修 第一册3.2 函数的基本性质课文内容ppt课件,共29页。PPT课件主要包含了目标认知,奇函数,图3-2-9,x2-3x,角度一比较大小问题,角度二不等式问题,图3-2-10等内容,欢迎下载使用。
高中数学湘教版(2019)必修 第一册3.2 函数的基本性质课文配套课件ppt:
这是一份高中数学湘教版(2019)必修 第一册3.2 函数的基本性质课文配套课件ppt,文件包含湘教版高中数学必修第一册第3章32322第2课时奇偶性的应用课件ppt、湘教版高中数学必修第一册第3章32322第2课时奇偶性的应用学案doc、湘教版高中数学必修第一册课后素养落实24奇偶性的应用含答案doc等3份课件配套教学资源,其中PPT共41页, 欢迎下载使用。

