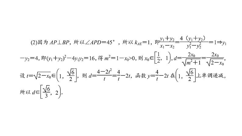
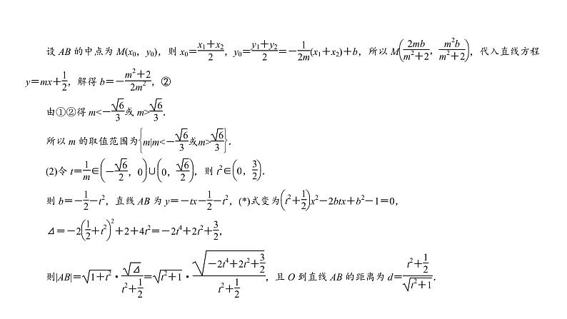
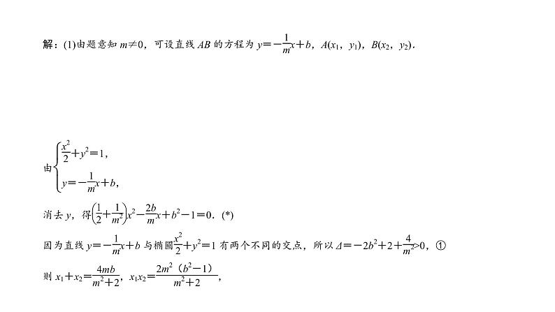
2022届新高考一轮复习人教B版 综合突破五 圆锥曲线的综合问题 课件(55张)
展开第2课时 圆锥曲线中的定点、定值与存在性问题
《高考数学总复习》专题突破五 圆锥曲线的综合问题: 这是一份《高考数学总复习》专题突破五 圆锥曲线的综合问题,共55页。
2023届高考人教B版数学一轮复习课件(适用于新高考新教材) 第八章 平面解析几何 高考大题专项(五) 圆锥曲线的综合问题: 这是一份2023届高考人教B版数学一轮复习课件(适用于新高考新教材) 第八章 平面解析几何 高考大题专项(五) 圆锥曲线的综合问题,共60页。PPT课件主要包含了考情分析,突破策略二逆推法等内容,欢迎下载使用。
新教材2022版高考人教A版数学一轮复习课件:高考大题专项(五) 圆锥曲线的综合问题: 这是一份新教材2022版高考人教A版数学一轮复习课件:高考大题专项(五) 圆锥曲线的综合问题,共60页。PPT课件主要包含了考情分析,突破策略二逆推法等内容,欢迎下载使用。

