


数学七年级上册1.4 有理数的乘除法综合与测试练习
展开
这是一份数学七年级上册1.4 有理数的乘除法综合与测试练习,共6页。试卷主要包含了计算题等内容,欢迎下载使用。
1.(1)﹣(+15)﹣(﹣17)+(+3)+(﹣5); (2)4×(﹣3)2+(﹣6)÷(﹣2).
2.(1)6×(215+112)−18; (2)56×(2÷58−3); (3)[1﹣(14+38)]÷14;
(4)14×23÷(45−815); (5)79÷115+29×511.
3.(1)﹣23﹣3×(﹣1)2021﹣9÷(﹣3); (2)−12−(−112)×232+(−6)÷|−225|.
4.(1)﹣12+[(﹣2)2﹣(23−1)÷(−16)]; (2)﹣12×(113−34+16).
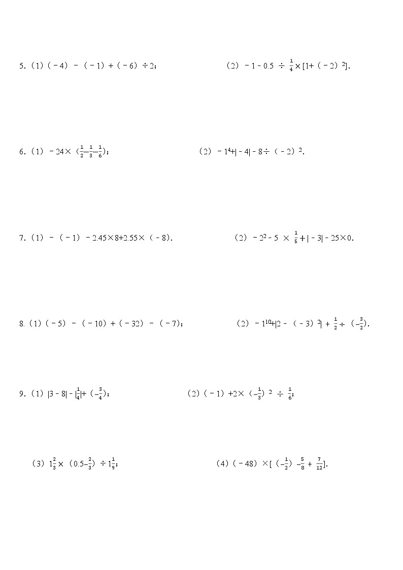
5.(1)(﹣4)﹣(﹣1)+(﹣6)÷2; (2)﹣1﹣0.5÷14×[1+(﹣2)2].
6.(1)﹣24×(12−13−16); (2)﹣14+|﹣4|﹣8÷(﹣2)2.
7.(1)﹣(﹣1)﹣2.45×8+2.55×(﹣8). (2)﹣22﹣5×15+|﹣3|﹣25×0.
8.(1)(﹣5)﹣(﹣10)+(﹣32)﹣(﹣7); (2)﹣110+|2﹣(﹣3)2|+12÷(−32).
9.(1)|3﹣8|﹣|14|+(−34); (2)(﹣1)+2×(−13)2÷16;
(3)123×(0.5−23)÷119; (4)(﹣48)×[(−12)−58+712].
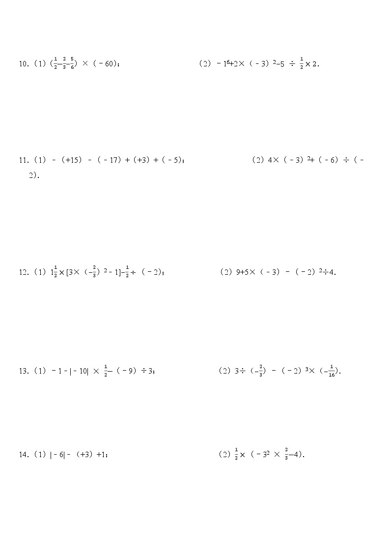
10.(1)(12−23−56)×(﹣60); (2)﹣16+2×(﹣3)2−5÷12×2.
11.(1)﹣(+15)﹣(﹣17)+(+3)+(﹣5); (2)4×(﹣3)2+(﹣6)÷(﹣2).
12.(1)112×[3×(−23)2﹣1]−12÷(﹣2); (2)9+5×(﹣3)﹣(﹣2)2÷4.
13.(1)﹣1﹣|﹣10|×12−(﹣9)÷3; (2)3÷(−23)﹣(﹣2)3×(−116).
14.(1)|﹣6|﹣(+3)+1; (2)12×(﹣32×23−4).
15.(2021•萧山区二模)下面是圆圆同学计算一道题的过程:
2÷(−13+14)×(﹣3)
=[2÷(−13)+2÷14]×(﹣3)
=2×(﹣3)×(﹣3)+2×4×(﹣3)
=18﹣24
=6.
圆圆同学这样算正确吗?如果正确请解释理由;如果不正确,请你写出正确的计算过程.
16.(2020秋•孝南区期末)计算:
(1)(14+38−712)÷124; (2)(﹣1)×|112|﹣(0.5)÷(−13).
17.(2020秋•章贡区期末)计算:
(1)﹣(﹣3)+|﹣1|﹣(+9); (2)[﹣3×(−13)2+(﹣1)3]÷(−23).
18.(2020秋•沿河县期末)计算:
(1)8+(﹣9)﹣5﹣(﹣6); (2)(﹣1)3﹣(1﹣7)÷3×[3﹣(﹣3)2].
(2021春•南岗区校级月考)
(1)简算:(−112+13−12)÷(−136); (2)简算:(﹣96611)÷6;
(3)﹣32+[−56+(−14)]×12; (4)﹣1﹣2×|−14|+(﹣6)×(−13).
20.(2021春•杨浦区校级期中)计算:
(1)(﹣413)﹣(﹣212)+(﹣923)+3.5; (2)(﹣1)÷(0.75)×(﹣113)÷3×(﹣0.5)2;
(3)(﹣3)2﹣(112)3×39−6÷23; (4)(12−3+56−712)×(﹣62).
21.(2020秋•南京期末)计算:
(1)﹣32﹣9×(−13); (2)[(﹣2)3+43]÷4+(−23).
22.(2020秋•连云港期末)计算:
(1)2×(﹣3)3﹣4×(﹣3); (2)﹣22÷(12−13)×(−58).
23.(2020秋•金湖县期末)计算:
(1)﹣10+8÷(﹣2)2; (2)(12﹣113−0.4)×(−34).
24.(2020秋•邗江区期末)计算:
(1)−72×(16−34+512); (2)−24÷4+(1−13)×|−6|.
相关试卷
这是一份初中数学沪科版七年级上册1.5 有理数的乘除同步练习题,共20页。试卷主要包含了计算等内容,欢迎下载使用。
这是一份初中数学青岛版七年级上册3.4 有理数的混合运算精练,共2页。
这是一份初中数学青岛版七年级上册3.4 有理数的混合运算课堂检测,共2页。
