函数与数学模型PPT课件免费下载2023
展开
苏教版 (2019)高中数学必修 第一册课文《函数与数学模型》,完整版PPT课件免费下载,优秀PPT背景图搭配,精美的免费ppt模板。轻松备课,欢迎免费下载使用。
一、【课程的主要内容】知识点一 几类已知函数模型
知识点二 应用函数模型解决问题的基本过程
用函数模型解应用题的四个步骤(1)审题——弄清题意,分清条件和结论,理顺数量关系,初步选择模型;(2)建模——将自然语言转化为数学语言,将文字语言转化为符号语言,利用数学知识建立相应的数学模型;(3)求模——求解数学模型,得出数学模型;(4)还原——将数学结论还原为实际问题.
例1 某列火车从北京西站开往石家庄,全程277 km.火车出发10 min开出13 km后,以120 km/h的速度匀速行驶.试写出火车行驶的总路程S与匀速行驶的时间t之间的关系,并求火车离开北京2 h内行驶的路程.
类型一 利用已知函数模型求解实际问题
因为火车匀速行驶t h所行驶的路程为120t km,所以,火车运行总路程S与匀速行驶时间t之间的关系是
跟踪训练1 如图是抛物线形拱桥,当水面在l时,拱顶离水面2米,水面宽4米.则水位下降1米后,水面宽_____米.
解析 以拱顶为原点,过原点与水面平行的直线为x轴,建立平面直角坐标系(如图),则水面和拱桥交点A(2,-2),设抛物线所对应的函数关系式为y=ax2(a≠0),则-2=a·22,
当水面下降1米时,水面和拱桥的交点记作B(b,-3),
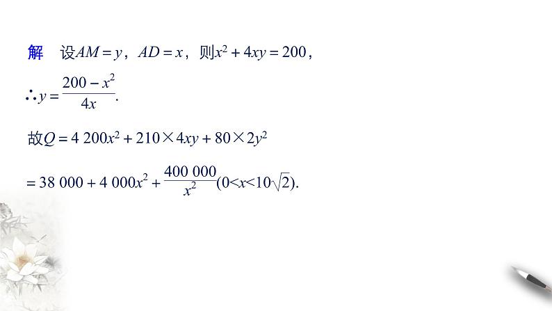
类型二 自建确定性函数模型解决实际问题例2 某住宅小区为了营造一个优雅、舒适的生活环境,打算建造一个八边形的休闲花园,它的主体造型的平面图是由两个相同的矩形ABCD和EFGH构成面积为200米2的十字形区域,且计划在正方形MNPK上建一座花坛,其造价为4 200元/米2,在四个相同的矩形上(图中的阴影部分)铺花岗岩路面,其造价为210元/米2,并在四个三角形空地上铺草坪,其造价为80元/米2.(1)设AD的长为x米,试写出总造价Q(单位:元)关于x的函数解析式;
解 设AM=y,AD=x,则x2+4xy=200,
故Q=4 200x2+210×4xy+80×2y2
(2)问:当x取何值时,总造价最少?求出这个最小值.
∴当t=10时,umin=20.
跟踪训练2 某旅游点有50辆自行车供游客租赁使用,管理这些自行车的费用是每日115元.根据经验,若每辆自行车的日租金不超过6元,则自行车可以全部租出;若超过6元,则每提高1元,租不出去的自行车就增加3辆.旅游点规定:每辆自行车的日租金不低于3元并且不超过20元,每辆自行车的日租金x元只取整数,用y表示出租所有自行车的日净收入.(日净收入即一日中出租的所有自行车的总收入减去管理费用后的所得)(1)求函数y=f(x)的解析式;
解 当3≤x≤6时,y=50x-115,令50x-115>0,解得x>2.3.又因为x∈N,所以3≤x≤6,且x∈N.当6<x≤20,且x∈N时,y=[50-3(x-6)]x-115=-3x2+68x-115,
(2)试问日净收入最多时每辆自行车的日租金应定为多少元?日净收入最多为多少元?
解 当3≤x≤6,且x∈N时,因为y=50x-115是增函数,所以当x=6时,ymax=185元.当6<x≤20,且x∈N时,
所以当x=11时,ymax=270元.综上所述,当每辆自行车日租金定为11元时才能使日净收入最多,为270元.二、【拓展学习】
类型三 建立拟合函数模型解决实际问题
例3 某个体经营者把开始六个月试销A,B两种商品的逐月投资金额与所获纯利润列成下表.
该经营者准备第七个月投入12万元经营这两种商品,但不知A,B两种商品各投入多少万元才合算,请你帮助制定一个资金投入方案,使得该经营者能获得最大纯利润,并按你的方案求出该经营者第七个月可获得的最大纯利润(结果保留两位有效数字).
解 以投资额为横坐标,纯利润为纵坐标,在平面直角坐标系中画出散点图,如图所示.
观察散点图可以看出,A种商品所获纯利润y与投资额x之间的变化规律可以用二次函数模型进行模拟,如图①所示.取(4,2)为最高点,则y=a(x-4)2+2(a≠0),再把点(1,0.65)代入,得0.65=a(1-4)2+2,解得a=-0.15,所以y=-0.15(x-4)2+2.
B种商品所获纯利润y与投资额x之间的变化规律是线性的,可以用一次函数模型进行模拟,如图②所示.
设y=kx+b(k≠0),取点(1,0.30)和(4,1.20)代入,
设第七个月投入A,B两种商品的资金分别为x万元,(12-x)万元,总利润为W万元,那么W=yA+yB=-0.15(x-4)2+2+0.3(12-x),所以W=-0.15(x-3)2+0.15×9+3.2.当x=3时,W取最大值,约为4.6万元,此时B商品的投资为9万元.故该经营者下个月把12万元中的3万元投资A种商品,9万元投资B种商品,可获得最大利润,约为4.6万元.
跟踪训练3 某商场经营一批进价为每件30元的商品,在市场销售中发现此商品的销售单价x元与日销量y件之间有如下关系:
(1)在所给坐标系中,根据表中提供的数据描出实数对(x,y)对应的点,并确定x与y的一个函数关系式y=f(x).
解 实数对(x,y)对应的点如图所示,由图可知y是x的一次函数.
所以f(x)=-3x+150,30≤x≤50,检验成立.
(2)设经营此商品的日销售利润为P元,根据上述关系式写出P关于x的函数关系式,并指出销售单价x为多少时,才能获得最大日销售利润.
解 P=(x-30)·(-3x+150)=-3x2+240x-4 500,30≤x≤50,
答 当销售单价为40元时,所获利润最大.三、【课堂练习】
1.一辆汽车在某段路程中的行驶路程s关于时间t变化的图象如图所示,那么图象所对应的函数模型是A.分段函数 B.二次函数C.指数函数 D.对数函数
2.若镭经过100年后剩留原来质量的95.76%,设质量为1的镭经过x年后剩留量为y,则x,y的函数关系是
3.某种植物生长发育的数量y与时间x的关系如下表:则下面的函数关系式中,拟合效果最好的是A.y=2x-1 B.y=x2-1C.y=2x-1 D.y=1.5x2-2.5x+2
4.某同学最近5年内的学习费用y(千元)与时间x(年)的关系如图所示,则可选择的模拟函数模型是A.y=ax+b B.y=ax2+bx+cC.y=aex+b D.y=aln x+b
5.某化工厂引进一条先进生产线生产某种化工产品,其生产的总成本y(万元)与年产量x(吨)之间的函数关系式可以近似地表示为y= -48x+8 000,已知此生产线年产量最大为210吨.若每吨产品平均出厂价为40万元,那么当年产量为多少吨时,可以获得最大利润?最大利润是多少?
∵R(x)在[0,210]上是增函数,∴当x=210时,
∴年产量为210吨时,可获得最大利润1 660万元.
相关课件
北师大版 (2019)高中数学必修 第二册课文《正切函数的定义》,完整版PPT课件免费下载,优秀PPT背景图搭配,精美的免费ppt模板。轻松备课,欢迎免费下载使用。
北师大版 (2019)高中数学必修 第一册课文《指数函数的概念》,完整版PPT课件免费下载,优秀PPT背景图搭配,精美的免费ppt模板。轻松备课,欢迎免费下载使用。
上教版(2020)高中数学必修第一册课文《函数的应用》,完整版PPT课件免费下载,优秀PPT背景图搭配,精美的免费ppt模板。轻松备课,欢迎免费下载使用。

