还剩8页未读,
继续阅读
成套系列资料,整套一键下载
2021年人教版高中数学必修第一册章末综合测评(五)《三角函数》(含答案详解)
展开
这是一份2021年人教版高中数学必修第一册章末综合测评(五)《三角函数》(含答案详解),共1页。主要包含了选择题,填空题,解答题等内容,欢迎下载使用。
一、选择题(本大题共12小题,每小题5分,共60分.在每小题给出的四个选项中,只有一项是符合题目要求的)
1.若集合M={x|x=45°+k·90°,k∈Z},N={x|x=90°+k·45°,k∈Z},则( )
A.M=N B.MN
C.MN D.M∩N=∅
C [M={x|x=45°+k·90°,k∈Z}={x|x=(2k+1)·45°,k∈Z},N={x|x=90°+k·45°,k∈Z}={x|x=(k+2)·45°,k∈Z}.因为k∈Z,所以k+2∈Z,且2k+1为奇数,所以MN,故选C.]
2.cs275°+cs215°+cs 75°cs 15°的值等于( )
A.eq \f(\r(6),2) B.eq \f(3,2)
C.eq \f(5,4) D.1+eq \f(\r(3),4)
C [∵cs 75°=sin 15°,
∴原式=sin215°+cs215°+sin 15°cs 15°
=1+eq \f(1,2)sin 30°=1+eq \f(1,2)×eq \f(1,2)=eq \f(5,4).]
3.化简cs2eq \b\lc\(\rc\)(\a\vs4\al\c1(\f(π,4)-α))-sin2eq \b\lc\(\rc\)(\a\vs4\al\c1(\f(π,4)-α))得( )
A.sin 2α B.-sin 2α
C.cs 2α D.-cs 2α
A [原式=cs 2eq \b\lc\(\rc\)(\a\vs4\al\c1(\f(π,4)-α))
=cseq \b\lc\(\rc\)(\a\vs4\al\c1(\f(π,2)-2α))=sin 2α.]
4.已知tan(α+β)=3,tan(α-β)=5,则tan 2α的值为( )
A.-eq \f(4,7) B.eq \f(4,7)
C.eq \f(1,8) D.-eq \f(1,8)
A [tan 2α=tan[(α+β)+(α-β)]
=eq \f(tanα+β+tanα-β,1-tanα+βtanα-β)=eq \f(3+5,1-3×5)=-eq \f(4,7).]
5.已知sin(α-β)cs α-cs(α-β)sin α=eq \f(4,5),且β在第三象限,则cseq \f(β,2)的值等于( )
A.±eq \f(\r(5),5) B.±eq \f(2\r(5),5)
C.-eq \f(\r(5),5) D.-eq \f(2\r(5),5)
A [由已知,得sin[(α-β)-α]=sin(-β)=eq \f(4,5),
得sin β=-eq \f(4,5).
∵β在第三象限,∴cs β=-eq \f(3,5),
∴cseq \f(β,2)=±eq \r(\f(1+cs β,2))=±eq \r(\f(1,5))=±eq \f(\r(5),5).]
6.函数y=2sineq \b\lc\(\rc\)(\a\vs4\al\c1(2x+\f(π,3)))的图象( )
A.关于原点对称 B.关于点eq \b\lc\(\rc\)(\a\vs4\al\c1(-\f(π,6),0))对称
C.关于y轴对称 D.关于直线x=eq \f(π,6)对称
B [因为当x=0时,y=2sineq \f(π,3)=eq \r(3),
当x=eq \f(π,6)时,y=2sineq \f(2π,3)=eq \r(3),
当x=-eq \f(π,6)时,y=2sin 0=0.
所以A、C、D错误,B正确.]
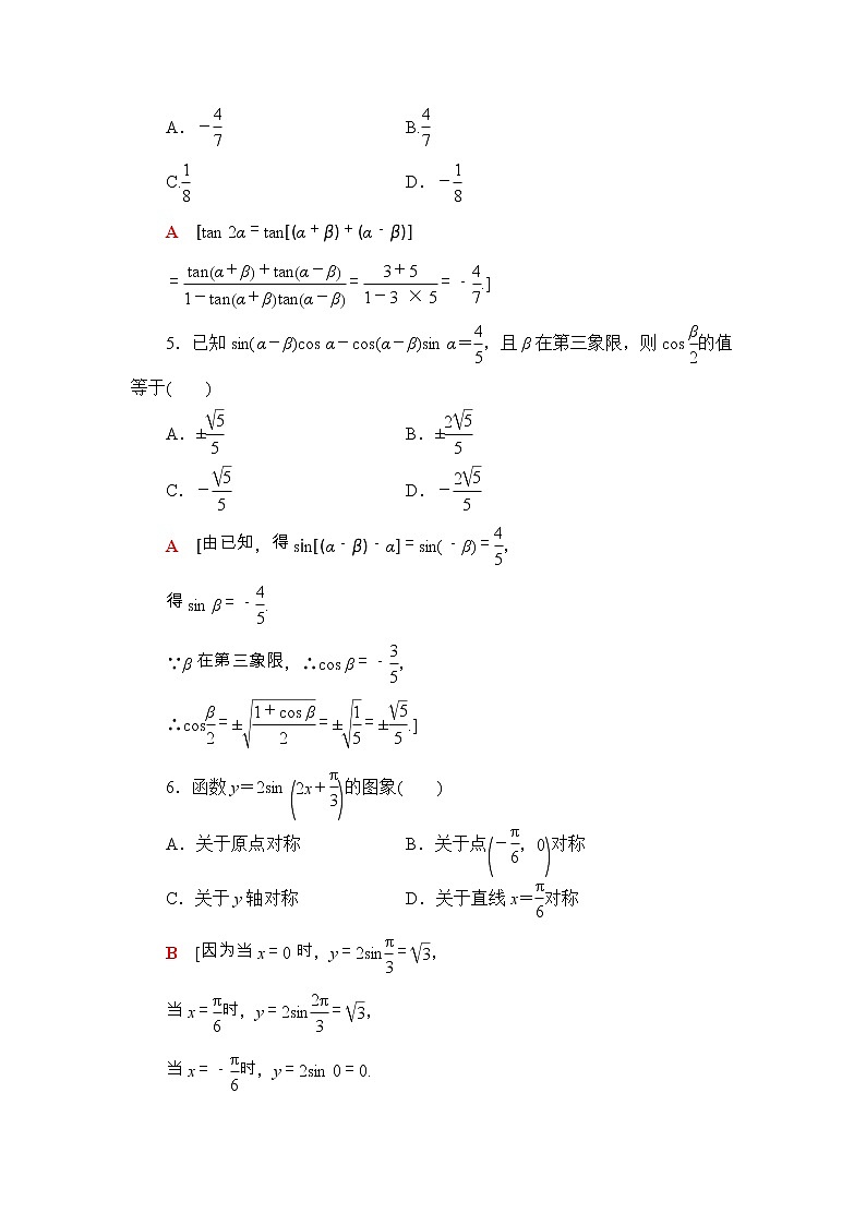
7.若函数f(x)=sin(ωx+φ)的图象(部分)如图所示,则ω和φ的取值是( )
A.ω=1,φ=eq \f(π,3) B.ω=1,φ=-eq \f(π,3)
C.ω=eq \f(1,2),φ=eq \f(π,6) D.ω=eq \f(1,2),φ=-eq \f(π,6)
C [由图象知,T=4eq \b\lc\(\rc\)(\a\vs4\al\c1(\f(2π,3)+\f(π,3)))=4π=eq \f(2π,ω),∴ω=eq \f(1,2).
又当x=eq \f(2π,3)时,y=1,
∴sineq \b\lc\(\rc\)(\a\vs4\al\c1(\f(1,2)×\f(2π,3)+φ))=1,
eq \f(π,3)+φ=2kπ+eq \f(π,2),k∈Z,当k=0时,φ=eq \f(π,6).]
8.已知cseq \b\lc\(\rc\)(\a\vs4\al\c1(α+\f(2π,3)))=eq \f(4,5),-eq \f(π,2)<α<0,则sineq \b\lc\(\rc\)(\a\vs4\al\c1(α+\f(π,3)))+sin α等于( )
A.-eq \f(4\r(3),5) B.-eq \f(3\r(3),5)
C.eq \f(3\r(3),5) D.eq \f(4\r(3),5)
A [sineq \b\lc\(\rc\)(\a\vs4\al\c1(α+\f(π,3)))+sin α=eq \f(3,2)sin α+eq \f(\r(3),2)cs α=eq \r(3)sineq \b\lc\(\rc\)(\a\vs4\al\c1(α+\f(π,6)))=eq \r(3)sineq \b\lc\(\rc\)(\a\vs4\al\c1(α+\f(2π,3)-\f(π,2)))=-eq \r(3)cseq \b\lc\(\rc\)(\a\vs4\al\c1(α+\f(2π,3)))=-eq \r(3)×eq \f(4,5)=-eq \f(4\r(3),5).]
9.已知sin α+cs α=eq \f(\r(2),3),α∈(0,π),则sineq \b\lc\(\rc\)(\a\vs4\al\c1(α+\f(π,12)))的值为( )
A.eq \f(\r(3)+2\r(2),6) B.eq \f(\r(3)-2\r(2),6)
C.eq \f(1+2\r(6),6) D.eq \f(1-2\r(6),6)
A [∵sin α+cs α=eq \r(2)sineq \b\lc\(\rc\)(\a\vs4\al\c1(α+\f(π,4)))=eq \f(\r(2),3),
∴sineq \b\lc\(\rc\)(\a\vs4\al\c1(α+\f(π,4)))=eq \f(1,3),∵α∈(0,π),∴α+eq \f(π,4)∈eq \b\lc\(\rc\)(\a\vs4\al\c1(\f(π,4),\f(5π,4))),
又∵sineq \b\lc\(\rc\)(\a\vs4\al\c1(α+\f(π,4)))=eq \f(1,3),
∴α+eq \f(π,4)∈eq \b\lc\(\rc\)(\a\vs4\al\c1(\f(3π,4),π)),
∴cseq \b\lc\(\rc\)(\a\vs4\al\c1(α+\f(π,4)))=-eq \r(1-sin2\b\lc\(\rc\)(\a\vs4\al\c1(α+\f(π,4))))=-eq \f(2\r(2),3).
sineq \b\lc\(\rc\)(\a\vs4\al\c1(α+\f(π,12)))=sineq \b\lc\[\rc\](\a\vs4\al\c1(\b\lc\(\rc\)(\a\vs4\al\c1(α+\f(π,4)))-\f(π,6)))=sineq \b\lc\(\rc\)(\a\vs4\al\c1(α+\f(π,4)))cseq \f(π,6)-cseq \b\lc\(\rc\)(\a\vs4\al\c1(α+\f(π,4)))sineq \f(π,6)=eq \f(1,3)×eq \f(\r(3),2)-eq \b\lc\(\rc\)(\a\vs4\al\c1(-\f(2\r(2),3)))×eq \f(1,2)=eq \f(2\r(2)+\r(3),6).]
10.已知tan α和taneq \b\lc\(\rc\)(\a\vs4\al\c1(\f(π,4)-α))是方程ax2+bx+c=0的两根,则a,b,c的关系是( )
A.b=a+c B.2b=a+c
C.c=a+b D.c=ab
C [由根与系数的关系得:
tan α+taneq \b\lc\(\rc\)(\a\vs4\al\c1(\f(π,4)-α))=-eq \f(b,a),
tan αtaneq \b\lc\(\rc\)(\a\vs4\al\c1(\f(π,4)-α))=eq \f(c,a),
taneq \b\lc\[\rc\](\a\vs4\al\c1(α+\b\lc\(\rc\)(\a\vs4\al\c1(\f(π,4)-α))))
=eq \f(tan α+tan\b\lc\(\rc\)(\a\vs4\al\c1(\f(π,4)-α)),1-tan αtan\b\lc\(\rc\)(\a\vs4\al\c1(\f(π,4)-α)))
=eq \f(-\f(b,a),1-\f(c,a))=1,得c=a+b.]
11.函数f(x)=Asin ωx(ω>0),对任意x有feq \b\lc\(\rc\)(\a\vs4\al\c1(x-\f(1,2)))=feq \b\lc\(\rc\)(\a\vs4\al\c1(x+\f(1,2))),且feq \b\lc\(\rc\)(\a\vs4\al\c1(-\f(1,4)))=-a,那么feq \b\lc\(\rc\)(\a\vs4\al\c1(\f(9,4)))等于( )
A.a B.2a C.3a D.4a
A [由feq \b\lc\(\rc\)(\a\vs4\al\c1(x-\f(1,2)))=feq \b\lc\(\rc\)(\a\vs4\al\c1(x+\f(1,2))),
得f(x+1)=feq \b\lc\(\rc\)(\a\vs4\al\c1(\b\lc\(\rc\)(\a\vs4\al\c1(x+\f(1,2)))+\f(1,2)))
=feq \b\lc\(\rc\)(\a\vs4\al\c1(x+\f(1,2)-\f(1,2)))=f(x),
即1是f(x)的周期.而f(x)为奇函数,
则feq \b\lc\(\rc\)(\a\vs4\al\c1(\f(9,4)))=feq \b\lc\(\rc\)(\a\vs4\al\c1(\f(1,4)))=-feq \b\lc\(\rc\)(\a\vs4\al\c1(-\f(1,4)))=a.]
12.甲、乙两人从直径为2r的圆形水池的一条直径的两端同时按逆时针方向沿水池做匀速圆周运动,已知甲的速度是乙的速度的两倍,乙绕水池一周停止运动,若用θ表示乙在某时刻旋转角的弧度数,l表示甲、乙两人的直线距离,则l=f(θ)的大致图象是( )
B [由题意知θ=π时,两人相遇排除A,C,两人的直线距离大于等于零,排除D,故选B.]
二、填空题(本大题共4小题,每小题5分,共20分,将答案填在题中的横线上)
13.已知tan α=-eq \r(3),eq \f(π,2)<α<π,那么cs α-sin α的值是________.
-eq \f(1+\r(3),2) [因为tan α=-eq \r(3),eq \f(π,2)<α<π,所以α=eq \f(2π,3),
所以cs α=-eq \f(1,2),sin α=eq \f(\r(3),2),
cs α-sin α=-eq \f(1+\r(3),2).]
14.设α是第二象限角,P(x,4)为其终边上一点,且cs α=eq \f(x,5),则tan 2α=________.
eq \f(24,7) [因为α是第二象限角,P(x,4)为其终边上的一点,所以x<0,
因为cs α=eq \f(x,5)=eq \f(x,\r(x2+16)),所以x=-3,
所以tan α=eq \f(y,x)=-eq \f(4,3),
所以tan 2α=eq \f(2tan α,1-tan2α)=eq \f(24,7).]
15.已知α满足sin α=eq \f(1,3),那么cseq \b\lc\(\rc\)(\a\vs4\al\c1(\f(π,4)+α))cseq \b\lc\(\rc\)(\a\vs4\al\c1(\f(π,4)-α))的值为________.
eq \f(7,18) [∵cseq \b\lc\(\rc\)(\a\vs4\al\c1(\f(π,4)+α))=cseq \b\lc\[\rc\](\a\vs4\al\c1(\f(π,2)-\b\lc\(\rc\)(\a\vs4\al\c1(\f(π,4)-α))))=sineq \b\lc\(\rc\)(\a\vs4\al\c1(\f(π,4)-α)),
∴cseq \b\lc\(\rc\)(\a\vs4\al\c1(\f(π,4)+α))cseq \b\lc\(\rc\)(\a\vs4\al\c1(\f(π,4)-α))=sineq \b\lc\(\rc\)(\a\vs4\al\c1(\f(π,4)-α))cseq \b\lc\(\rc\)(\a\vs4\al\c1(\f(π,4)-α))=eq \f(1,2)sineq \b\lc\(\rc\)(\a\vs4\al\c1(\f(π,2)-2α))=eq \f(1,2)cs 2α
=eq \f(1,2)(1-2sin2α)=eq \f(1,2)eq \b\lc\[\rc\](\a\vs4\al\c1(1-2×\b\lc\(\rc\)(\a\vs4\al\c1(\f(1,3)))2))=eq \f(7,18).]
16.关于函数f(x)=cseq \b\lc\(\rc\)(\a\vs4\al\c1(2x-\f(π,3)))+cseq \b\lc\(\rc\)(\a\vs4\al\c1(2x+\f(π,6))),有下列说法:
①y=f(x)的最大值为eq \r(2);
②y=f(x)是以π为最小正周期的周期函数;
③y=f(x)在区间eq \b\lc\(\rc\)(\a\vs4\al\c1(\f(π,24),\f(13π,24)))上单调递减;
④将函数y=eq \r(2)cs 2x的图象向左平移eq \f(π,24)个单位后,将与已知函数的图象重合.
其中正确说法的序号是________.(把你认为正确的说法的序号都填上)
①②③ [∵f(x)=cseq \b\lc\(\rc\)(\a\vs4\al\c1(2x-\f(π,3)))+cseq \b\lc\(\rc\)(\a\vs4\al\c1(2x+\f(π,2)-\f(π,3)))
=cseq \b\lc\(\rc\)(\a\vs4\al\c1(2x-\f(π,3)))-sineq \b\lc\(\rc\)(\a\vs4\al\c1(2x-\f(π,3)))
=eq \r(2)cseq \b\lc\(\rc\)(\a\vs4\al\c1(2x-\f(π,12))),
∴f(x)max=eq \r(2),即①正确.
T=eq \f(2π,|ω|)=eq \f(2π,2)=π,即②正确.
f(x)的递减区间为2kπ≤2x-eq \f(π,12)≤2kπ+π(k∈Z),
即kπ+eq \f(π,24)≤x≤kπ+eq \f(13π,24)(k∈Z),
k=0时,eq \f(π,24)≤x≤eq \f(13π,24),即③正确.
将函数y=eq \r(2)cs 2x向左平移eq \f(π,24)个单位得
y=eq \r(2)cseq \b\lc\[\rc\](\a\vs4\al\c1(2\b\lc\(\rc\)(\a\vs4\al\c1(x+\f(π,24)))))≠f(x),
所以④不正确.]
三、解答题(本大题共6小题,共70分.解答应写出文字说明,证明过程或演算步骤)
17.(本小题满分10分)已知cs(π+α)=-eq \f(1,2),且角α在第四象限,计算:
(1)sin(2π-α);
(2)eq \f(sin[α+2n+1π]+sinπ+α,sinπ-α·csα+2nπ)(n∈Z).
[解] 因为cs(π+α)=-eq \f(1,2),
所以-cs α=-eq \f(1,2),cs α=eq \f(1,2).
又角α在第四象限,
所以sin α=-eq \r(1-cs2α)=-eq \f(\r(3),2).
(1)sin(2π-α)=sin[2π+(-α)]
=sin(-α)=-sin α=eq \f(\r(3),2).
(2)eq \f(sin[α+2n+1π]+sinπ+α,sinπ-α·csα+2nπ)
=eq \f(sinα+2nπ+π-sin α,sin αcs α)=eq \f(sinπ+α-sin α,sin αcs α)
=eq \f(-2sin α,sin αcs α)=eq \f(-2,cs α)=-4.
18.(本小题满分12分)已知α,β为锐角,sin α=eq \f(1,7),cs(α+β)=eq \f(3,5).
(1)求sineq \b\lc\(\rc\)(\a\vs4\al\c1(α+\f(π,6)))的值;
(2)求cs β的值.
[解] (1)∵α为锐角,sin α=eq \f(1,7),
∴cs α=eq \r(1-sin2α)=eq \f(4\r(3),7),
∴sineq \b\lc\(\rc\)(\a\vs4\al\c1(α+\f(π,6)))=sin αcseq \f(π,6)+cs αsineq \f(π,6)
=eq \f(1,7)×eq \f(\r(3),2)+eq \f(4\r(3),7)×eq \f(1,2)=eq \f(5\r(3),14).
(2)∵α,β为锐角,∴α+β∈(0,π),
由cs(α+β)=eq \f(3,5)得,sin(α+β)=eq \r(1-cs2α+β)=eq \f(4,5),
∴cs β=cs[(α+β)-α]=cs(α+β)cs α+sin(α+β)sin α=eq \f(3,5)×eq \f(4\r(3),7)+eq \f(4,5)×eq \f(1,7)=eq \f(4+12\r(3),35).
19.(本小题满分12分)已知f(x)=sineq \b\lc\(\rc\)(\a\vs4\al\c1(2x+\f(π,6)))+eq \f(3,2),x∈R.
(1)求函数f(x)的最小正周期和单调增区间;
(2)函数f(x)的图象可以由函数y=sin 2x(x∈R)的图象经过怎样的变换得到?
[解] (1)T=eq \f(2π,2)=π,由2kπ-eq \f(π,2)≤2x+eq \f(π,6)≤2kπ+eq \f(π,2)(k∈Z),知kπ-eq \f(π,3)≤x≤kπ+eq \f(π,6)(k∈Z).
所以所求函数的最小正周期为π,所求的函数的单调递增区间为eq \b\lc\[\rc\](\a\vs4\al\c1(kπ-\f(π,3),kπ+\f(π,6)))(k∈Z).
(2)变换情况如下:
y=sin 2xeq \(――――――――――――→,\s\up15(向左平移\f(π,12)个单位长度) \s\d15())
y=sineq \b\lc\[\rc\](\a\vs4\al\c1(2\b\lc\(\rc\)(\a\vs4\al\c1(x+\f(π,12)))))eq \(―――――――――――→,\s\up10(将图象上各点向),\s\d15(上平移\f(3,2)个单位长度))
y=sineq \b\lc\(\rc\)(\a\vs4\al\c1(2x+\f(π,6)))+eq \f(3,2).
20.(本小题满分12分)已知函数f(x)=eq \r(2)cseq \b\lc\(\rc\)(\a\vs4\al\c1(2x-\f(π,4))),x∈R.
(1)求函数f(x)的最小正周期和单调递增区间;
(2)求函数f(x)在区间eq \b\lc\[\rc\](\a\vs4\al\c1(-\f(π,8),\f(π,2)))上的最小值和最大值,并求出取得最值时x的值.
[解] (1)因为f(x)=eq \r(2)cseq \b\lc\(\rc\)(\a\vs4\al\c1(2x-\f(π,4))),
所以函数f(x)的最小正周期为T=eq \f(2π,2)=π.
由-π+2kπ≤2x-eq \f(π,4)≤2kπ(k∈Z),
得-eq \f(3π,8)+kπ≤x≤eq \f(π,8)+kπ(k∈Z),
故函数f(x)的单调递增区间为eq \b\lc\[\rc\](\a\vs4\al\c1(-\f(3π,8)+kπ,\f(π,8)+kπ))(k∈Z).
(2)因为f(x)=eq \r(2)cseq \b\lc\(\rc\)(\a\vs4\al\c1(2x-\f(π,4)))在区间eq \b\lc\[\rc\](\a\vs4\al\c1(-\f(π,8),\f(π,8)))上为增函数,在区间eq \b\lc\[\rc\](\a\vs4\al\c1(\f(π,8),\f(π,2)))上为减函数,又feq \b\lc\(\rc\)(\a\vs4\al\c1(-\f(π,8)))=0,feq \b\lc\(\rc\)(\a\vs4\al\c1(\f(π,8)))=eq \r(2),feq \b\lc\(\rc\)(\a\vs4\al\c1(\f(π,2)))=eq \r(2)cseq \b\lc\(\rc\)(\a\vs4\al\c1(π-\f(π,4)))=-eq \r(2)cseq \f(π,4)=-1,所以函数f(x)在区间eq \b\lc\[\rc\](\a\vs4\al\c1(-\f(π,8),\f(π,2)))上的最大值为eq \r(2),此时x=eq \f(π,8);最小值为-1,此时x=eq \f(π,2).
21.(本小题满分12分)已知△ABC的三个内角分别为A,B,C,且满足sin2(A+C)=eq \r(3)sin Bcs B,cs(C-A)=-2cs 2A.
(1)试判断△ABC的形状;
(2)已知函数f(x)=sin x-eq \r(3)cs x(x∈R),求f(A+45°)的值.
[解] (1)∵sin2(A+C)=eq \r(3)sin Bcs B,
∴sin2B=eq \r(3)sin Bcs B,
∵sin B≠0,∴sin B=eq \r(3)cs B,∴tan B=eq \r(3),
∵0°<B<180°,∴B=60°,
又cs(C-A)=-2cs 2A,
得cs(120°-2A)=-2cs 2A,
化简得sin 2A=-eq \r(3)cs 2A,解得tan 2A=-eq \r(3),
又0°<A<120°,∴0°<2A<240°,
∴2A=120°,∴A=60°,∴C=60°,
∴△ABC为等边三角形.
(2)∵f(x)=sin x-eq \r(3)cs x
=2eq \b\lc\(\rc\)(\a\vs4\al\c1(\f(1,2)sin x-\f(\r(3),2)cs x))
=2(sin xcs 60°-cs xsin 60°)
=2sin(x-60°),
∴f(A+45°)=2sin 45°=eq \r(2).
22.(本小题满分12分)如图,矩形ABCD的长AD=2eq \r(3),宽AB=1,A,D两点分别在x,y轴的正半轴上移动,B,C两点在第一象限,求OB2的最大值.
[解] 过点B作BH⊥OA,垂足为H.
设∠OAD=θeq \b\lc\(\rc\)(\a\vs4\al\c1(0<θ<\f(π,2))),则∠BAH=eq \f(π,2)-θ,
OA=2eq \r(3)cs θ,
BH=sineq \b\lc\(\rc\)(\a\vs4\al\c1(\f(π,2)-θ))=cs θ,
AH=cseq \b\lc\(\rc\)(\a\vs4\al\c1(\f(π,2)-θ))=sin θ,
∴B(2eq \r(3)cs θ+sin θ,cs θ),
OB2=(2eq \r(3)cs θ+sin θ)2+cs2θ
=7+6cs 2θ+2eq \r(3)sin 2θ=7+4eq \r(3)sineq \b\lc\(\rc\)(\a\vs4\al\c1(2θ+\f(π,3))).
由0<θ<eq \f(π,2),知eq \f(π,3)<2θ+eq \f(π,3)<eq \f(4π,3),
所以当θ=eq \f(π,12)时,OB2取得最大值7+4eq \r(3).
一、选择题(本大题共12小题,每小题5分,共60分.在每小题给出的四个选项中,只有一项是符合题目要求的)
1.若集合M={x|x=45°+k·90°,k∈Z},N={x|x=90°+k·45°,k∈Z},则( )
A.M=N B.MN
C.MN D.M∩N=∅
C [M={x|x=45°+k·90°,k∈Z}={x|x=(2k+1)·45°,k∈Z},N={x|x=90°+k·45°,k∈Z}={x|x=(k+2)·45°,k∈Z}.因为k∈Z,所以k+2∈Z,且2k+1为奇数,所以MN,故选C.]
2.cs275°+cs215°+cs 75°cs 15°的值等于( )
A.eq \f(\r(6),2) B.eq \f(3,2)
C.eq \f(5,4) D.1+eq \f(\r(3),4)
C [∵cs 75°=sin 15°,
∴原式=sin215°+cs215°+sin 15°cs 15°
=1+eq \f(1,2)sin 30°=1+eq \f(1,2)×eq \f(1,2)=eq \f(5,4).]
3.化简cs2eq \b\lc\(\rc\)(\a\vs4\al\c1(\f(π,4)-α))-sin2eq \b\lc\(\rc\)(\a\vs4\al\c1(\f(π,4)-α))得( )
A.sin 2α B.-sin 2α
C.cs 2α D.-cs 2α
A [原式=cs 2eq \b\lc\(\rc\)(\a\vs4\al\c1(\f(π,4)-α))
=cseq \b\lc\(\rc\)(\a\vs4\al\c1(\f(π,2)-2α))=sin 2α.]
4.已知tan(α+β)=3,tan(α-β)=5,则tan 2α的值为( )
A.-eq \f(4,7) B.eq \f(4,7)
C.eq \f(1,8) D.-eq \f(1,8)
A [tan 2α=tan[(α+β)+(α-β)]
=eq \f(tanα+β+tanα-β,1-tanα+βtanα-β)=eq \f(3+5,1-3×5)=-eq \f(4,7).]
5.已知sin(α-β)cs α-cs(α-β)sin α=eq \f(4,5),且β在第三象限,则cseq \f(β,2)的值等于( )
A.±eq \f(\r(5),5) B.±eq \f(2\r(5),5)
C.-eq \f(\r(5),5) D.-eq \f(2\r(5),5)
A [由已知,得sin[(α-β)-α]=sin(-β)=eq \f(4,5),
得sin β=-eq \f(4,5).
∵β在第三象限,∴cs β=-eq \f(3,5),
∴cseq \f(β,2)=±eq \r(\f(1+cs β,2))=±eq \r(\f(1,5))=±eq \f(\r(5),5).]
6.函数y=2sineq \b\lc\(\rc\)(\a\vs4\al\c1(2x+\f(π,3)))的图象( )
A.关于原点对称 B.关于点eq \b\lc\(\rc\)(\a\vs4\al\c1(-\f(π,6),0))对称
C.关于y轴对称 D.关于直线x=eq \f(π,6)对称
B [因为当x=0时,y=2sineq \f(π,3)=eq \r(3),
当x=eq \f(π,6)时,y=2sineq \f(2π,3)=eq \r(3),
当x=-eq \f(π,6)时,y=2sin 0=0.
所以A、C、D错误,B正确.]
7.若函数f(x)=sin(ωx+φ)的图象(部分)如图所示,则ω和φ的取值是( )
A.ω=1,φ=eq \f(π,3) B.ω=1,φ=-eq \f(π,3)
C.ω=eq \f(1,2),φ=eq \f(π,6) D.ω=eq \f(1,2),φ=-eq \f(π,6)
C [由图象知,T=4eq \b\lc\(\rc\)(\a\vs4\al\c1(\f(2π,3)+\f(π,3)))=4π=eq \f(2π,ω),∴ω=eq \f(1,2).
又当x=eq \f(2π,3)时,y=1,
∴sineq \b\lc\(\rc\)(\a\vs4\al\c1(\f(1,2)×\f(2π,3)+φ))=1,
eq \f(π,3)+φ=2kπ+eq \f(π,2),k∈Z,当k=0时,φ=eq \f(π,6).]
8.已知cseq \b\lc\(\rc\)(\a\vs4\al\c1(α+\f(2π,3)))=eq \f(4,5),-eq \f(π,2)<α<0,则sineq \b\lc\(\rc\)(\a\vs4\al\c1(α+\f(π,3)))+sin α等于( )
A.-eq \f(4\r(3),5) B.-eq \f(3\r(3),5)
C.eq \f(3\r(3),5) D.eq \f(4\r(3),5)
A [sineq \b\lc\(\rc\)(\a\vs4\al\c1(α+\f(π,3)))+sin α=eq \f(3,2)sin α+eq \f(\r(3),2)cs α=eq \r(3)sineq \b\lc\(\rc\)(\a\vs4\al\c1(α+\f(π,6)))=eq \r(3)sineq \b\lc\(\rc\)(\a\vs4\al\c1(α+\f(2π,3)-\f(π,2)))=-eq \r(3)cseq \b\lc\(\rc\)(\a\vs4\al\c1(α+\f(2π,3)))=-eq \r(3)×eq \f(4,5)=-eq \f(4\r(3),5).]
9.已知sin α+cs α=eq \f(\r(2),3),α∈(0,π),则sineq \b\lc\(\rc\)(\a\vs4\al\c1(α+\f(π,12)))的值为( )
A.eq \f(\r(3)+2\r(2),6) B.eq \f(\r(3)-2\r(2),6)
C.eq \f(1+2\r(6),6) D.eq \f(1-2\r(6),6)
A [∵sin α+cs α=eq \r(2)sineq \b\lc\(\rc\)(\a\vs4\al\c1(α+\f(π,4)))=eq \f(\r(2),3),
∴sineq \b\lc\(\rc\)(\a\vs4\al\c1(α+\f(π,4)))=eq \f(1,3),∵α∈(0,π),∴α+eq \f(π,4)∈eq \b\lc\(\rc\)(\a\vs4\al\c1(\f(π,4),\f(5π,4))),
又∵sineq \b\lc\(\rc\)(\a\vs4\al\c1(α+\f(π,4)))=eq \f(1,3),
∴α+eq \f(π,4)∈eq \b\lc\(\rc\)(\a\vs4\al\c1(\f(3π,4),π)),
∴cseq \b\lc\(\rc\)(\a\vs4\al\c1(α+\f(π,4)))=-eq \r(1-sin2\b\lc\(\rc\)(\a\vs4\al\c1(α+\f(π,4))))=-eq \f(2\r(2),3).
sineq \b\lc\(\rc\)(\a\vs4\al\c1(α+\f(π,12)))=sineq \b\lc\[\rc\](\a\vs4\al\c1(\b\lc\(\rc\)(\a\vs4\al\c1(α+\f(π,4)))-\f(π,6)))=sineq \b\lc\(\rc\)(\a\vs4\al\c1(α+\f(π,4)))cseq \f(π,6)-cseq \b\lc\(\rc\)(\a\vs4\al\c1(α+\f(π,4)))sineq \f(π,6)=eq \f(1,3)×eq \f(\r(3),2)-eq \b\lc\(\rc\)(\a\vs4\al\c1(-\f(2\r(2),3)))×eq \f(1,2)=eq \f(2\r(2)+\r(3),6).]
10.已知tan α和taneq \b\lc\(\rc\)(\a\vs4\al\c1(\f(π,4)-α))是方程ax2+bx+c=0的两根,则a,b,c的关系是( )
A.b=a+c B.2b=a+c
C.c=a+b D.c=ab
C [由根与系数的关系得:
tan α+taneq \b\lc\(\rc\)(\a\vs4\al\c1(\f(π,4)-α))=-eq \f(b,a),
tan αtaneq \b\lc\(\rc\)(\a\vs4\al\c1(\f(π,4)-α))=eq \f(c,a),
taneq \b\lc\[\rc\](\a\vs4\al\c1(α+\b\lc\(\rc\)(\a\vs4\al\c1(\f(π,4)-α))))
=eq \f(tan α+tan\b\lc\(\rc\)(\a\vs4\al\c1(\f(π,4)-α)),1-tan αtan\b\lc\(\rc\)(\a\vs4\al\c1(\f(π,4)-α)))
=eq \f(-\f(b,a),1-\f(c,a))=1,得c=a+b.]
11.函数f(x)=Asin ωx(ω>0),对任意x有feq \b\lc\(\rc\)(\a\vs4\al\c1(x-\f(1,2)))=feq \b\lc\(\rc\)(\a\vs4\al\c1(x+\f(1,2))),且feq \b\lc\(\rc\)(\a\vs4\al\c1(-\f(1,4)))=-a,那么feq \b\lc\(\rc\)(\a\vs4\al\c1(\f(9,4)))等于( )
A.a B.2a C.3a D.4a
A [由feq \b\lc\(\rc\)(\a\vs4\al\c1(x-\f(1,2)))=feq \b\lc\(\rc\)(\a\vs4\al\c1(x+\f(1,2))),
得f(x+1)=feq \b\lc\(\rc\)(\a\vs4\al\c1(\b\lc\(\rc\)(\a\vs4\al\c1(x+\f(1,2)))+\f(1,2)))
=feq \b\lc\(\rc\)(\a\vs4\al\c1(x+\f(1,2)-\f(1,2)))=f(x),
即1是f(x)的周期.而f(x)为奇函数,
则feq \b\lc\(\rc\)(\a\vs4\al\c1(\f(9,4)))=feq \b\lc\(\rc\)(\a\vs4\al\c1(\f(1,4)))=-feq \b\lc\(\rc\)(\a\vs4\al\c1(-\f(1,4)))=a.]
12.甲、乙两人从直径为2r的圆形水池的一条直径的两端同时按逆时针方向沿水池做匀速圆周运动,已知甲的速度是乙的速度的两倍,乙绕水池一周停止运动,若用θ表示乙在某时刻旋转角的弧度数,l表示甲、乙两人的直线距离,则l=f(θ)的大致图象是( )
B [由题意知θ=π时,两人相遇排除A,C,两人的直线距离大于等于零,排除D,故选B.]
二、填空题(本大题共4小题,每小题5分,共20分,将答案填在题中的横线上)
13.已知tan α=-eq \r(3),eq \f(π,2)<α<π,那么cs α-sin α的值是________.
-eq \f(1+\r(3),2) [因为tan α=-eq \r(3),eq \f(π,2)<α<π,所以α=eq \f(2π,3),
所以cs α=-eq \f(1,2),sin α=eq \f(\r(3),2),
cs α-sin α=-eq \f(1+\r(3),2).]
14.设α是第二象限角,P(x,4)为其终边上一点,且cs α=eq \f(x,5),则tan 2α=________.
eq \f(24,7) [因为α是第二象限角,P(x,4)为其终边上的一点,所以x<0,
因为cs α=eq \f(x,5)=eq \f(x,\r(x2+16)),所以x=-3,
所以tan α=eq \f(y,x)=-eq \f(4,3),
所以tan 2α=eq \f(2tan α,1-tan2α)=eq \f(24,7).]
15.已知α满足sin α=eq \f(1,3),那么cseq \b\lc\(\rc\)(\a\vs4\al\c1(\f(π,4)+α))cseq \b\lc\(\rc\)(\a\vs4\al\c1(\f(π,4)-α))的值为________.
eq \f(7,18) [∵cseq \b\lc\(\rc\)(\a\vs4\al\c1(\f(π,4)+α))=cseq \b\lc\[\rc\](\a\vs4\al\c1(\f(π,2)-\b\lc\(\rc\)(\a\vs4\al\c1(\f(π,4)-α))))=sineq \b\lc\(\rc\)(\a\vs4\al\c1(\f(π,4)-α)),
∴cseq \b\lc\(\rc\)(\a\vs4\al\c1(\f(π,4)+α))cseq \b\lc\(\rc\)(\a\vs4\al\c1(\f(π,4)-α))=sineq \b\lc\(\rc\)(\a\vs4\al\c1(\f(π,4)-α))cseq \b\lc\(\rc\)(\a\vs4\al\c1(\f(π,4)-α))=eq \f(1,2)sineq \b\lc\(\rc\)(\a\vs4\al\c1(\f(π,2)-2α))=eq \f(1,2)cs 2α
=eq \f(1,2)(1-2sin2α)=eq \f(1,2)eq \b\lc\[\rc\](\a\vs4\al\c1(1-2×\b\lc\(\rc\)(\a\vs4\al\c1(\f(1,3)))2))=eq \f(7,18).]
16.关于函数f(x)=cseq \b\lc\(\rc\)(\a\vs4\al\c1(2x-\f(π,3)))+cseq \b\lc\(\rc\)(\a\vs4\al\c1(2x+\f(π,6))),有下列说法:
①y=f(x)的最大值为eq \r(2);
②y=f(x)是以π为最小正周期的周期函数;
③y=f(x)在区间eq \b\lc\(\rc\)(\a\vs4\al\c1(\f(π,24),\f(13π,24)))上单调递减;
④将函数y=eq \r(2)cs 2x的图象向左平移eq \f(π,24)个单位后,将与已知函数的图象重合.
其中正确说法的序号是________.(把你认为正确的说法的序号都填上)
①②③ [∵f(x)=cseq \b\lc\(\rc\)(\a\vs4\al\c1(2x-\f(π,3)))+cseq \b\lc\(\rc\)(\a\vs4\al\c1(2x+\f(π,2)-\f(π,3)))
=cseq \b\lc\(\rc\)(\a\vs4\al\c1(2x-\f(π,3)))-sineq \b\lc\(\rc\)(\a\vs4\al\c1(2x-\f(π,3)))
=eq \r(2)cseq \b\lc\(\rc\)(\a\vs4\al\c1(2x-\f(π,12))),
∴f(x)max=eq \r(2),即①正确.
T=eq \f(2π,|ω|)=eq \f(2π,2)=π,即②正确.
f(x)的递减区间为2kπ≤2x-eq \f(π,12)≤2kπ+π(k∈Z),
即kπ+eq \f(π,24)≤x≤kπ+eq \f(13π,24)(k∈Z),
k=0时,eq \f(π,24)≤x≤eq \f(13π,24),即③正确.
将函数y=eq \r(2)cs 2x向左平移eq \f(π,24)个单位得
y=eq \r(2)cseq \b\lc\[\rc\](\a\vs4\al\c1(2\b\lc\(\rc\)(\a\vs4\al\c1(x+\f(π,24)))))≠f(x),
所以④不正确.]
三、解答题(本大题共6小题,共70分.解答应写出文字说明,证明过程或演算步骤)
17.(本小题满分10分)已知cs(π+α)=-eq \f(1,2),且角α在第四象限,计算:
(1)sin(2π-α);
(2)eq \f(sin[α+2n+1π]+sinπ+α,sinπ-α·csα+2nπ)(n∈Z).
[解] 因为cs(π+α)=-eq \f(1,2),
所以-cs α=-eq \f(1,2),cs α=eq \f(1,2).
又角α在第四象限,
所以sin α=-eq \r(1-cs2α)=-eq \f(\r(3),2).
(1)sin(2π-α)=sin[2π+(-α)]
=sin(-α)=-sin α=eq \f(\r(3),2).
(2)eq \f(sin[α+2n+1π]+sinπ+α,sinπ-α·csα+2nπ)
=eq \f(sinα+2nπ+π-sin α,sin αcs α)=eq \f(sinπ+α-sin α,sin αcs α)
=eq \f(-2sin α,sin αcs α)=eq \f(-2,cs α)=-4.
18.(本小题满分12分)已知α,β为锐角,sin α=eq \f(1,7),cs(α+β)=eq \f(3,5).
(1)求sineq \b\lc\(\rc\)(\a\vs4\al\c1(α+\f(π,6)))的值;
(2)求cs β的值.
[解] (1)∵α为锐角,sin α=eq \f(1,7),
∴cs α=eq \r(1-sin2α)=eq \f(4\r(3),7),
∴sineq \b\lc\(\rc\)(\a\vs4\al\c1(α+\f(π,6)))=sin αcseq \f(π,6)+cs αsineq \f(π,6)
=eq \f(1,7)×eq \f(\r(3),2)+eq \f(4\r(3),7)×eq \f(1,2)=eq \f(5\r(3),14).
(2)∵α,β为锐角,∴α+β∈(0,π),
由cs(α+β)=eq \f(3,5)得,sin(α+β)=eq \r(1-cs2α+β)=eq \f(4,5),
∴cs β=cs[(α+β)-α]=cs(α+β)cs α+sin(α+β)sin α=eq \f(3,5)×eq \f(4\r(3),7)+eq \f(4,5)×eq \f(1,7)=eq \f(4+12\r(3),35).
19.(本小题满分12分)已知f(x)=sineq \b\lc\(\rc\)(\a\vs4\al\c1(2x+\f(π,6)))+eq \f(3,2),x∈R.
(1)求函数f(x)的最小正周期和单调增区间;
(2)函数f(x)的图象可以由函数y=sin 2x(x∈R)的图象经过怎样的变换得到?
[解] (1)T=eq \f(2π,2)=π,由2kπ-eq \f(π,2)≤2x+eq \f(π,6)≤2kπ+eq \f(π,2)(k∈Z),知kπ-eq \f(π,3)≤x≤kπ+eq \f(π,6)(k∈Z).
所以所求函数的最小正周期为π,所求的函数的单调递增区间为eq \b\lc\[\rc\](\a\vs4\al\c1(kπ-\f(π,3),kπ+\f(π,6)))(k∈Z).
(2)变换情况如下:
y=sin 2xeq \(――――――――――――→,\s\up15(向左平移\f(π,12)个单位长度) \s\d15())
y=sineq \b\lc\[\rc\](\a\vs4\al\c1(2\b\lc\(\rc\)(\a\vs4\al\c1(x+\f(π,12)))))eq \(―――――――――――→,\s\up10(将图象上各点向),\s\d15(上平移\f(3,2)个单位长度))
y=sineq \b\lc\(\rc\)(\a\vs4\al\c1(2x+\f(π,6)))+eq \f(3,2).
20.(本小题满分12分)已知函数f(x)=eq \r(2)cseq \b\lc\(\rc\)(\a\vs4\al\c1(2x-\f(π,4))),x∈R.
(1)求函数f(x)的最小正周期和单调递增区间;
(2)求函数f(x)在区间eq \b\lc\[\rc\](\a\vs4\al\c1(-\f(π,8),\f(π,2)))上的最小值和最大值,并求出取得最值时x的值.
[解] (1)因为f(x)=eq \r(2)cseq \b\lc\(\rc\)(\a\vs4\al\c1(2x-\f(π,4))),
所以函数f(x)的最小正周期为T=eq \f(2π,2)=π.
由-π+2kπ≤2x-eq \f(π,4)≤2kπ(k∈Z),
得-eq \f(3π,8)+kπ≤x≤eq \f(π,8)+kπ(k∈Z),
故函数f(x)的单调递增区间为eq \b\lc\[\rc\](\a\vs4\al\c1(-\f(3π,8)+kπ,\f(π,8)+kπ))(k∈Z).
(2)因为f(x)=eq \r(2)cseq \b\lc\(\rc\)(\a\vs4\al\c1(2x-\f(π,4)))在区间eq \b\lc\[\rc\](\a\vs4\al\c1(-\f(π,8),\f(π,8)))上为增函数,在区间eq \b\lc\[\rc\](\a\vs4\al\c1(\f(π,8),\f(π,2)))上为减函数,又feq \b\lc\(\rc\)(\a\vs4\al\c1(-\f(π,8)))=0,feq \b\lc\(\rc\)(\a\vs4\al\c1(\f(π,8)))=eq \r(2),feq \b\lc\(\rc\)(\a\vs4\al\c1(\f(π,2)))=eq \r(2)cseq \b\lc\(\rc\)(\a\vs4\al\c1(π-\f(π,4)))=-eq \r(2)cseq \f(π,4)=-1,所以函数f(x)在区间eq \b\lc\[\rc\](\a\vs4\al\c1(-\f(π,8),\f(π,2)))上的最大值为eq \r(2),此时x=eq \f(π,8);最小值为-1,此时x=eq \f(π,2).
21.(本小题满分12分)已知△ABC的三个内角分别为A,B,C,且满足sin2(A+C)=eq \r(3)sin Bcs B,cs(C-A)=-2cs 2A.
(1)试判断△ABC的形状;
(2)已知函数f(x)=sin x-eq \r(3)cs x(x∈R),求f(A+45°)的值.
[解] (1)∵sin2(A+C)=eq \r(3)sin Bcs B,
∴sin2B=eq \r(3)sin Bcs B,
∵sin B≠0,∴sin B=eq \r(3)cs B,∴tan B=eq \r(3),
∵0°<B<180°,∴B=60°,
又cs(C-A)=-2cs 2A,
得cs(120°-2A)=-2cs 2A,
化简得sin 2A=-eq \r(3)cs 2A,解得tan 2A=-eq \r(3),
又0°<A<120°,∴0°<2A<240°,
∴2A=120°,∴A=60°,∴C=60°,
∴△ABC为等边三角形.
(2)∵f(x)=sin x-eq \r(3)cs x
=2eq \b\lc\(\rc\)(\a\vs4\al\c1(\f(1,2)sin x-\f(\r(3),2)cs x))
=2(sin xcs 60°-cs xsin 60°)
=2sin(x-60°),
∴f(A+45°)=2sin 45°=eq \r(2).
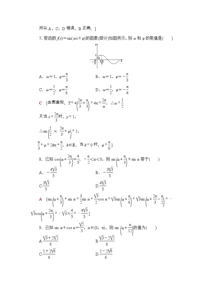
22.(本小题满分12分)如图,矩形ABCD的长AD=2eq \r(3),宽AB=1,A,D两点分别在x,y轴的正半轴上移动,B,C两点在第一象限,求OB2的最大值.
[解] 过点B作BH⊥OA,垂足为H.
设∠OAD=θeq \b\lc\(\rc\)(\a\vs4\al\c1(0<θ<\f(π,2))),则∠BAH=eq \f(π,2)-θ,
OA=2eq \r(3)cs θ,
BH=sineq \b\lc\(\rc\)(\a\vs4\al\c1(\f(π,2)-θ))=cs θ,
AH=cseq \b\lc\(\rc\)(\a\vs4\al\c1(\f(π,2)-θ))=sin θ,
∴B(2eq \r(3)cs θ+sin θ,cs θ),
OB2=(2eq \r(3)cs θ+sin θ)2+cs2θ
=7+6cs 2θ+2eq \r(3)sin 2θ=7+4eq \r(3)sineq \b\lc\(\rc\)(\a\vs4\al\c1(2θ+\f(π,3))).
由0<θ<eq \f(π,2),知eq \f(π,3)<2θ+eq \f(π,3)<eq \f(4π,3),
所以当θ=eq \f(π,12)时,OB2取得最大值7+4eq \r(3).
相关资料
更多

