2022年中考数学专题复习类型十一 二次函数与正方形有关的问题(解析版)
展开
这是一份2022年中考数学专题复习类型十一 二次函数与正方形有关的问题(解析版),共13页。
求抛物线的函数表达式:
若抛物线与抛物线在轴的右侧有两个不同的公共点,求的取值范围.
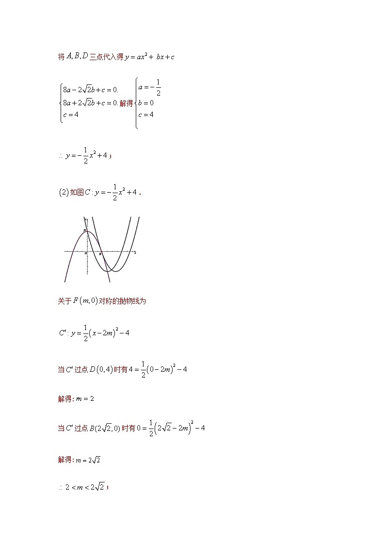
如图2,是第一象限内抛物线上一点,它到两坐标轴的距离相等,点在抛物线上的对应点,设是上的动点,是上的动点,试探究四边形能否成为正方形?若能,求出的值;若不能,请说明理由.
【答案】;;四边形可以为正方形,
【解析】
解:
将三点代入得
解得
;
如图.
关于对称的抛物线为
当过点时有
解得:
当过点时有
解得:
;
四边形可以为正方形
由题意设,
是抛物线第一象限上的点
解得:(舍去)即
如图作,于,
于
四边形为正方形
易证
为
将代入得
解得:(舍去)
当时四边形为正方形.
【典例2】如图,已知抛物线y=x2+bx+c的图象经过点A(l,0),B(﹣3,0),与y轴交于点C,抛物线的顶点为D,对称轴与x轴相交于点E,连接BD.
(1)求抛物线的解析式.
(2)若点P在直线BD上,当PE=PC时,求点P的坐标.
(3)在(2)的条件下,作PF⊥x轴于F,点M为x轴上一动点,N为直线PF上一动点,G为抛物线上一动点,当以点F,N,G,M四点为顶点的四边形为正方形时,求点M的坐标.
【解答】解:(1)∵抛物线y=x2+bx+c的图象经过点A(1,0),B(﹣3,0),
∴,∴,∴抛物线的解析式为y=x2+2x﹣3;
(2)由(1)知,抛物线的解析式为y=x2+2x﹣3;
∴C(0,﹣3),抛物线的顶点D(﹣1,﹣4),
∴E(﹣1,0),
设直线BD的解析式为y=mx+n,
∴,∴,∴直线BD的解析式为y=﹣2x﹣6,
设点P(a,﹣2a﹣6),
∵C(0,﹣3),E(﹣1,0),
根据勾股定理得,PE2=(a+1)2+(﹣2a﹣6)2,
PC2=a2+(﹣2a﹣6+3)2,
∵PC=PE,
∴(a+1)2+(﹣2a﹣6)2=a2+(﹣2a﹣6+3)2,
∴a=﹣2,∴y=﹣2×(﹣2)﹣6=﹣2,
∴P(﹣2,﹣2),
(3)如图,作PF⊥x轴于F,
∴F(﹣2,0),
设M(d,0),
∴G(d,d2+2d﹣3),N(﹣2,d2+2d﹣3),
∵以点F,N,G,M四点为顶点的四边形为正方形,必有FM=MG,
∴|d+2|=|d2+2d﹣3|,
∴d=或d=,
∴点M的坐标为(,0),(,0),(,0),(,0).
【典例3】如图,抛物线y=﹣x2+bx+c与x轴交于点A和点B,与y轴交于点C,点B坐标为(6,0),点C坐标为(0,6),点D是抛物线的顶点,过点D作x轴的垂线,垂足为E,连接BD.
(1)求抛物线的解析式及点D的坐标;(2)点F是抛物线上的动点,当∠FBA=∠BDE时,求点F的坐标;(3)若点M是抛物线上的动点,过点M作MN∥x轴与抛物线交于点N,点P在x轴上,点Q在坐标平面内,以线段MN为对角线作正方形MPNQ,请写出点Q的坐标.
【解答】解:(1)把B、C两点坐标代入抛物线解析式可得,解得,
∴抛物线解析式为y=﹣x2+2x+6,
∵y=﹣x2+2x+6=﹣(x﹣2)2+8,∴D(2,8);
(2)如图1,过F作FG⊥x轴于点G,
设F(x,﹣x2+2x+6),则FG=|﹣x2+2x+6|,
∵∠FBA=∠BDE,∠FGB=∠BED=90°,
∴△FBG∽△BDE,∴=,∵B(6,0),D(2,8),
∴E(2,0),BE=4,DE=8,OB=6,∴BG=6﹣x,∴=,
当点F在x轴上方时,有=,解得x=﹣1或x=6(舍去),此时F点的坐标为(﹣1,);
当点F在x轴下方时,有=﹣,解得x=﹣3或x=6(舍去),此时F点坐标为(﹣3,﹣);
综上可知F点的坐标为(﹣1,)或(﹣3,﹣);
(3)如图2,设对角线MN、PQ交于点O′,
∵点M、N关于抛物线对称轴对称,且四边形MPNQ为正方形,
∴点P为抛物线对称轴与x轴的交点,点Q在抛物线的对称轴上,
设Q(2,2n),则M坐标为(2﹣n,n),
∵点M在抛物线y=﹣x2+2x+6的图象上,
∴n=﹣(2﹣n)2+2(2﹣n)+6,解得n=﹣1+或n=﹣1﹣,
∴满足条件的点Q有两个,其坐标分别为(2,﹣2+2)或(2,﹣2﹣2).
【典例4】如图,已知抛物线y=ax2+bx﹣3过点A(﹣1,0),B(3,0),点M、N为抛物线上的动点,过点M作MD∥y轴,交直线BC于点D,交x轴于点E.过点N作NF⊥x轴,垂足为点F
(1)求二次函数y=ax2+bx﹣3的表达式;
(2)若M点是抛物线上对称轴右侧的点,且四边形MNFE为正方形,求该正方形的面积;
(3)若M点是抛物线上对称轴左侧的点,且∠DMN=90°,MD=MN,请直接写出点M的横坐标.
【解答】解:(1)把A(﹣1,0),B(3,0)代入y=ax2+bx﹣3,
得:,解得,故该抛物线解析式为:y=x2﹣2x﹣3;
(2)由(1)知,抛物线解析式为:y=x2﹣2x﹣3=(x﹣1)2﹣4,
∴该抛物线的对称轴是x=1,顶点坐标为(1,﹣4).
如图,设点M坐标为(m,m2﹣2m﹣3),其中m>1,
∴ME=|﹣m2+2m+3|,
∵M、N关于x=1对称,且点M在对称轴右侧,
∴点N的横坐标为2﹣m,
∴MN=2m﹣2,
∵四边形MNFE为正方形,
∴ME=MN,
∴|﹣m2+2m+3|=2m﹣2,
分两种情况:
①当﹣m2+2m+3=2m﹣2时,解得:m1=、m2=﹣(不符合题意,舍去),
当m=时,正方形的面积为(2﹣2)2=24﹣8;
②当﹣m2+2m+3=2﹣2m时,解得:m3=2+,m4=2﹣(不符合题意,舍去),
当m=2+时,正方形的面积为[2(2+)﹣2]2=24+8;
综上所述,正方形的面积为24+8或24﹣8.
(3)设BC所在直线解析式为y=px+q,
把点B(3,0)、C(0,﹣3)代入表达式,
得:,解得:,
∴直线BC的函数表达式为y=x﹣3,
设点M的坐标为(t,t2﹣2t﹣3),其中t<1,
则点N(2﹣t,t2﹣2t﹣3),点D(t,t﹣3),
∴MN=2﹣t﹣t=2﹣2t,MD=|t2﹣2t﹣3﹣t+3|=|t2﹣3t|.
∵MD=MN,∴|t2﹣3t|=2﹣2t,
分两种情况:
①当t2﹣3t=2﹣2t时,解得t1=﹣1,t2=2(不符合题意,舍去).
②当3t﹣t2=2﹣2t时,解得t3=,t2=(不符合题意,舍去).
综上所述,点M的横坐标为﹣1或.
【典例5】 如图,抛物线y=x2+bx+c与x轴交于A(﹣1,0),B(3,0)两点,顶点M关于x轴的对称点是M′.
(1)求抛物线的解析式;
(2)若直线AM′与此抛物线的另一个交点为C,求△CAB的面积;
(3)是否存在过A,B两点的抛物线,其顶点P关于x轴的对称点为Q,使得四边形APBQ为正方形?若存在,求出此抛物线的解析式;若不存在,请说明理由.
【分析】: (1)根据待定系数法,可得函数解析式;
(2)根据轴对称,可得M′的坐标,根据待定系数法,可得AM′的解析式,根据解方程组,可得B点坐标,根据三角形的面积公式,可得答案;
(3)根据正方形的性质,可得P、Q点坐标,根据待定系数法,可得函数解析式.
【解答】:解:(1)将A、B点坐标代入函数解析式,得,解得,
抛物线的解析式y=x2﹣2x﹣3;
(2)将抛物线的解析式化为顶点式,得y=(x﹣1)2﹣4,
M点的坐标为(1,﹣4),M′点的坐标为(1,4),
设AM′的解析式为y=kx+b,
将A、M′点的坐标代入,得,解得,AM′的解析式为y=2x+2,
联立AM′与抛物线,得
,解得,
C点坐标为(5,12).S△ABC=×4×12=24;
(3)存在过A,B两点的抛物线,其顶点P关于x轴的对称点为Q,使得四边形APBQ为正方形,
由ABPQ是正方形,A(﹣1,0)B(3,0),得
P(1,﹣2),Q(1,2),或P(1,2),Q(1,﹣2),
①当顶点P(1,﹣2)时,设抛物线的解析式为y=a(x﹣1)2﹣2,
将A点坐标代入函数解析式,得a(﹣1﹣1)2﹣2=0,解得a=,
抛物线的解析式为y=(x﹣1)2﹣2,
②当P(1,2)时,设抛物线的解析式为y=a(x﹣1)2+2,将
A点坐标代入函数解析式,得a(﹣1﹣1)2+2=0,
解得a=﹣,抛物线的解析式为y=﹣(x﹣1)2+2,
综上所述:y=(x﹣1)2﹣2或y=﹣(x﹣1)2+2,使得四边形APBQ为正方形.
【典例6】如图,抛物线y=﹣x2+bx+c与x轴交于点A,点B,与y轴交于点C,点B坐标为(6,0),点C坐标为(0,6),点D是抛物线的顶点,过点D作x轴的垂线,垂足为E,连接BD.
(1)求抛物线的解析式及点D的坐标;
(2)点F是抛物线上的动点,当∠FBA=∠BDE时,求点F的坐标;
(3)若点M是抛物线上的动点,过点M作MN∥x轴与抛物线交于点N,点P在x轴上,点Q在平面内,以线段MN为对角线作正方形MPNQ,请直接写出点Q的坐标.
【分析】(1)由点B、C的坐标利用待定系数法即可求出抛物线的解析式,再利用配方法将抛物线解析式变形成顶点式即可得出结论;
(2)设线段BF与y轴交点为点F′,设点F′的坐标为(0,m),由相似三角形的判定及性质可得出点F′的坐标,根据点B、F′的坐标利用待定系数法可求出直线BF的解析式,联立直线BF和抛物线的解析式成方程组,解方程组即可求出点F的坐标;
(3)设对角线MN、PQ交于点O′,如图2所示.根据抛物线的对称性结合正方形的性质可得出点P、Q的位置,设出点Q的坐标为(2,2n),由正方形的性质可得出点M的坐标为(2﹣n,n).由点M在抛物线图象上,即可得出关于n的一元二次方程,解方程可求出n值,代入点Q的坐标即可得出结论.
【解答】解:(1)将点B(6,0)、C(0,6)代入y=﹣x2+bx+c中,
得:,解得:,∴抛物线的解析式为y=﹣x2+2x+6.
∵y=﹣x2+2x+6=﹣(x﹣2)2+8,
∴点D的坐标为(2,8).
(2)设线段BF与y轴交点为点F′,设点F′的坐标为(0,m),如图1所示.
∵∠F′BO=∠FBA=∠BDE,∠F′OB=∠BED=90°,
∴△F′BO∽△BDE,∴.
∵点B(6,0),点D(2,8),
∴点E(2,0),BE=6﹣4=4,DE=8﹣0=8,OB=6,∴OF′=•OB=3,∴点F′(0,3)或(0,﹣3).
设直线BF的解析式为y=kx±3,则有0=6k+3或0=6k﹣3,解得:k=﹣或k=,
∴直线BF的解析式为y=﹣x+3或y=x﹣3.
联立直线BF与抛物线的解析式得:①或②,
解方程组①得:或(舍去),∴点F的坐标为(﹣1,);
解方程组②得:或(舍去),∴点F的坐标为(﹣3,﹣).
综上可知:点F的坐标为(﹣1,)或(﹣3,﹣).
(3)设对角线MN、PQ交于点O′,如图2所示.
∵点M、N关于抛物线对称轴对称,且四边形MPNQ为正方形,
∴点P为抛物线对称轴与x轴的交点,点Q在抛物线对称轴上,
设点Q的坐标为(2,2n),则点M的坐标为(2﹣n,n).
∵点M在抛物线y=﹣x2+2x+6的图象上,
∴n=﹣+2(2﹣n)+6,即n2+2n﹣16=0,
解得:n1=﹣1,n2=﹣﹣1.
∴点Q的坐标为(2,﹣1)或(2,﹣﹣1).
【典例7】如图,抛物线y=﹣x2+bx+c经过A(﹣1,0),B(3,0)两点,且与y轴交于点C,点D是抛物线的顶点,抛物线的对称轴DE交x轴于点E,连接BD.
(1)求经过A,B,C三点的抛物线的函数表达式;
(2)点P是线段BD上一点,当PE=PC时,求点P的坐标;
(3)在(2)的条件下,过点P作PF⊥x轴于点F,G为抛物线上一动点,M为x轴上一动点,N为直线PF上一动点,当以F、M、G为顶点的四边形是正方形时,请求出点M的坐标.
【分析】(1)利用待定系数法求出过A,B,C三点的抛物线的函数表达式;
(2)连接PC、PE,利用公式求出顶点D的坐标,利用待定系数法求出直线BD的解析式,设出点P的坐标为(x,﹣2x+6),利用勾股定理表示出PC2和PE2,根据题意列出方程,解方程求出x的值,计算求出点P的坐标;
(3)设点M的坐标为(a,0),表示出点G的坐标,根据正方形的性质列出方程,解方程即可.
【解答】解:(1)∵抛物线y=﹣x2+bx+c经过A(﹣1,0),B(3,0)两点,
∴,解得,,∴经过A,B,C三点的抛物线的函数表达式为y=﹣x2+2x+3;
(2)如图1,连接PC、PE,x=﹣=﹣=1,
当x=1时,y=4,∴点D的坐标为(1,4),
设直线BD的解析式为:y=mx+n,
则,解得,,∴直线BD的解析式为y=﹣2x+6,
设点P的坐标为(x,﹣2x+6),
则PC2=x2+(3+2x﹣6)2,PE2=(x﹣1)2+(﹣2x+6)2,
∵PC=PE,∴x2+(3+2x﹣6)2=(x﹣1)2+(﹣2x+6)2,
解得,x=2,则y=﹣2×2+6=2,
∴点P的坐标为(2,2);
(3)设点M的坐标为(a,0),则点G的坐标为(a,﹣a2+2a+3),
∵以F、M、G为顶点的四边形是正方形,
∴FM=MG,即|2﹣a|=|﹣a2+2a+3|,
当2﹣a=﹣a2+2a+3时,整理得,a2﹣3a﹣1=0,解得,a=,
当2﹣a=﹣(﹣a2+2a+3)时,
整理得,a2﹣a﹣5=0,
解得,a=,
∴当以F、M、G为顶点的四边形是正方形时,点M的坐标为(,0),(,0),(,0),(,0).
相关试卷
这是一份题型九 二次函数综合题 类型十一 二次函数与正方形有关的问题(专题训练)-中考数学二轮复习讲练测(全国通用),文件包含题型九二次函数综合题类型十一二次函数与正方形有关的问题专题训练解析版docx、题型九二次函数综合题类型十一二次函数与正方形有关的问题专题训练原卷版docx等2份试卷配套教学资源,其中试卷共33页, 欢迎下载使用。
这是一份2022年中考数学专题复习类型四 二次函数与角度有关的问题(解析版),共19页。
这是一份2022年中考数学专题复习类型十一 二次函数与正方形有关的问题(原卷版),共7页。

