高中数学人教B版 (2019)必修 第三册8.2.1 两角和与差的余弦学案及答案
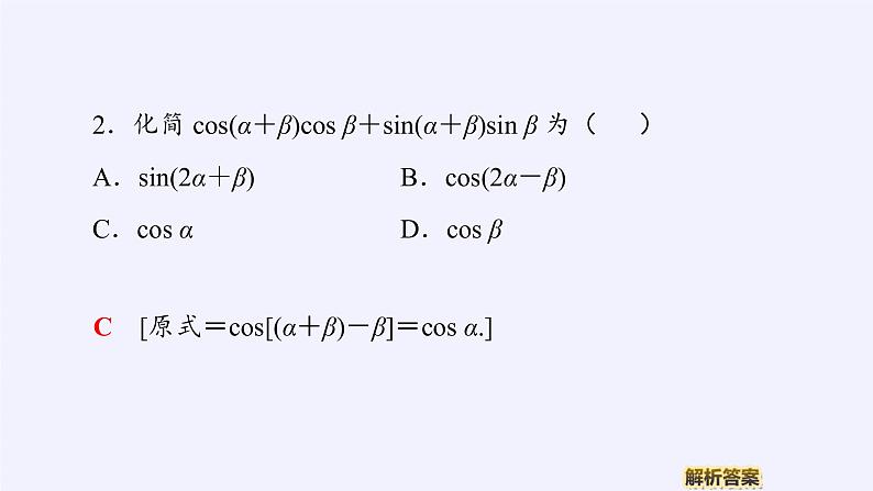
展开利用两角和与差的余弦公式化简求值
人教A版 (2019)必修 第一册第五章 三角函数5.5 三角恒等变换第1课时学案: 这是一份人教A版 (2019)必修 第一册第五章 三角函数5.5 三角恒等变换第1课时学案,共9页。
数学必修43.1 两角和与差的正弦、余弦和正切公式导学案及答案: 这是一份数学必修43.1 两角和与差的正弦、余弦和正切公式导学案及答案
人教版新课标A必修43.1 两角和与差的正弦、余弦和正切公式学案: 这是一份人教版新课标A必修43.1 两角和与差的正弦、余弦和正切公式学案

