
预览已结束,下载文档到电脑,使用更方便
数学必修 第一册5.7 三角函数的应用巩固练习
展开
这是一份数学必修 第一册5.7 三角函数的应用巩固练习,共1页。试卷主要包含了已知sin=,求cs 2α的值,求下列各式的值等内容,欢迎下载使用。
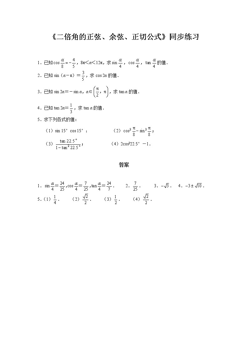
1.已知,8π<α<12π,求,,的值.
2.已知sin(α-π)=,求cs 2α的值.
3.已知sin 2α=-sin α,α∈,求tan α的值.
4.已知tan 2α=,求tan α的值.
5.求下列各式的值:
(1)sin 15°cs 15°; (2);
(3); (4)2cs222.5°-1.
答案
1.. 2.. 3.. 4..
5.(1). (2). (3). (4).
相关试卷
巩固练习_二倍角的正弦、余弦、正切公式_提高:
这是一份巩固练习_二倍角的正弦、余弦、正切公式_提高,共5页。
巩固练习_二倍角的正弦、余弦、正切公式_基础:
这是一份巩固练习_二倍角的正弦、余弦、正切公式_基础,共5页。
知识讲解_二倍角的正弦、余弦、正切公式_基础练习题:
这是一份知识讲解_二倍角的正弦、余弦、正切公式_基础练习题,共9页。
