






还剩7页未读,
继续阅读
所属成套资源:部编版语文一年级下册知识点归纳总结
成套系列资料,整套一键下载
小学语文人教部编版一年级下册识字(一)综合与测试多媒体教学课件ppt
展开
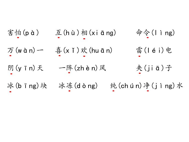
这是一份小学语文人教部编版一年级下册识字(一)综合与测试多媒体教学课件ppt,共14页。PPT课件主要包含了26个大写字母,会认字,会写字,春天春风,冬天寒冬,大风春风,雪花大雪,花朵红花,飞入飞机,进入走入等内容,欢迎下载使用。
相关课件
部编版一年级下册语文期末知识清单课件-第一单元∣:
这是一份部编版一年级下册语文期末知识清单课件-第一单元∣,共14页。PPT课件主要包含了26个大写字母,会认字,会写字,春天春风,冬天寒冬,大风春风,雪花大雪,花朵红花,飞入飞机,进入走入等内容,欢迎下载使用。
小学语文人教部编版一年级下册课文 5综合与测试图文课件ppt:
这是一份小学语文人教部编版一年级下册课文 5综合与测试图文课件ppt,共14页。PPT课件主要包含了会认字,会写字,找来找到,一次每次,文化文学,平地平时,办法办公,礼让让人,书包包办,钟表时钟等内容,欢迎下载使用。
小学语文人教部编版一年级下册课文 4综合与测试授课课件ppt:
这是一份小学语文人教部编版一年级下册课文 4综合与测试授课课件ppt,共16页。PPT课件主要包含了会认字,多音字,会写字,热爱爱护,首先首长,采花采药,无处无法,大树小树,尖头尖尖,角落五角星等内容,欢迎下载使用。