

还剩2页未读,
继续阅读
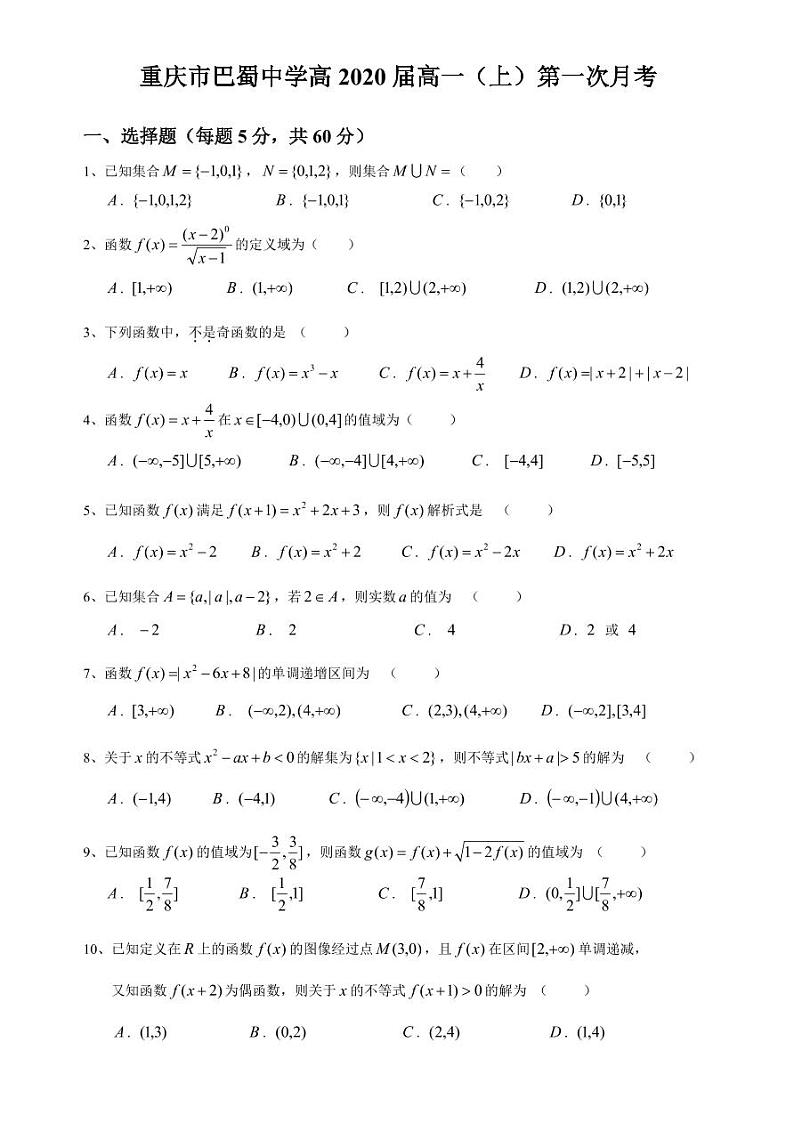
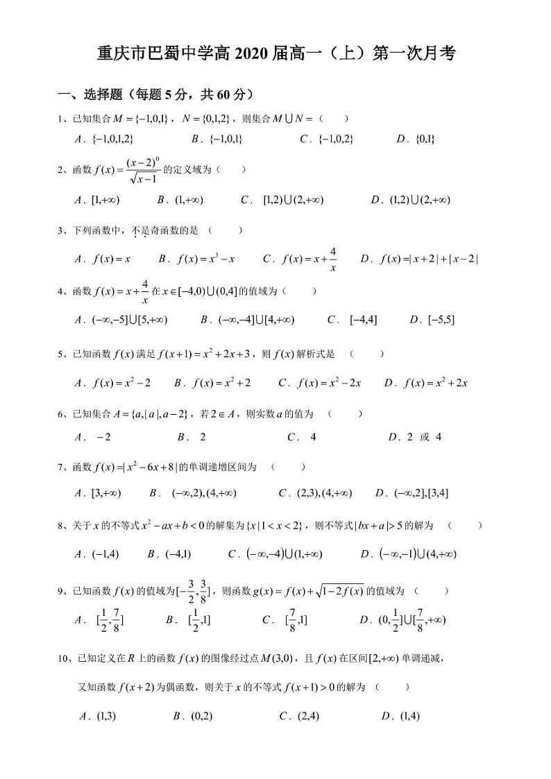
重庆巴蜀中学高2020届高一上第一次月考(1)练习题
展开
这是一份重庆巴蜀中学高2020届高一上第一次月考(1)练习题,共4页。
相关试卷
重庆市巴蜀中学高2024届高一(上)第一次月考数学试卷及参考答案:
这是一份重庆市巴蜀中学高2024届高一(上)第一次月考数学试卷及参考答案
重庆市巴蜀中学高2024届高一(上)第一次月考数学试卷及参考答案:
这是一份重庆市巴蜀中学高2024届高一(上)第一次月考数学试卷及参考答案
重庆市巴蜀中学高2024届高一(上)第一次月考数学试卷及参考答案:
这是一份重庆市巴蜀中学高2024届高一(上)第一次月考数学试卷及参考答案