所属成套资源:中考数学二轮冲刺核心重点难点热点训练 共15讲
第05讲 规律问题专题《二轮冲刺核心重点难点热点15讲》
展开这是一份第05讲 规律问题专题《二轮冲刺核心重点难点热点15讲》,共29页。教案主要包含了常见数字规律类型总结等内容,欢迎下载使用。
一、解题策略
规律探索题型一般可分为数的规律、式的规律、图形的规律、周期规律问题或与图形有关的操作变化过程的规律等类型;不管是哪种类型的规律问题,解决问题的实质性方法都大同小异,一个方向先将前三种、四种的结果呈现出来,通过结果发现规律;另一个方向是从前面几种结果的探索过程出现的一致性发现规律,我们简称为结果导向型和过程导向型。
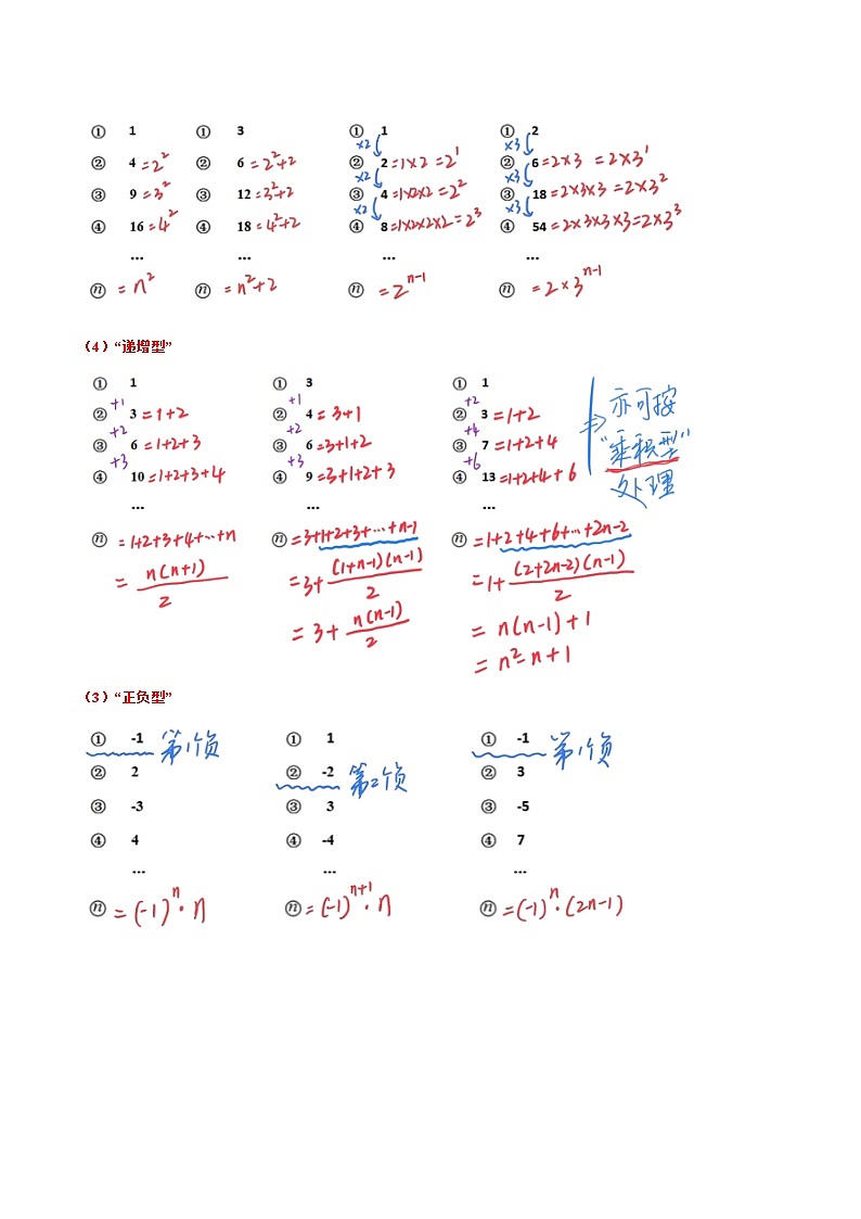
二、常见数字规律类型总结
为了更方便的观察和得出规律,通常我们需要基础常见的规律类型总结:
(1)“等差型”
(2)“乘积型”
(3)“乘方型”(也叫“连乘型”)
(4)“递增型”
(3)“正负型”
【例题1】(2019•青海)如图,将图1中的菱形剪开得到图2,图中共有4个菱形;将图2中的一个菱形剪开得到图3,图中共有7个菱形;如此剪下去,第5图中共有 个菱形……,第n个图中共有 个菱形.
【解析】(1)第1个图形有菱形1个,
第2个图形有菱形4=1+3个,
第3个图形有菱形7=1+3×2个,
第4个图形有菱形10=1+3×3个,
…,
第n个图形有菱形1+3(n﹣1)=(3n﹣2)个,
当n=5时,3n﹣2=13,
故答案为:13,(3n﹣2).
【例题2】(2019•安顺)如图,将从1开始的自然数按以下规律排列,例如位于第3行、第4列的数是12,则位于第45行、第7列的数是 .
【解析】观察图表可知:第n行第一个数是n2,
∴第45行第一个数是2025,
∴第45行、第7列的数是2025﹣6=2019,
故答案为2019
【例题3】观察下列图形:它们是按一定规律排列的,依照此规律,第9个图形中共有 个点.
【答案】135.
【例题4】如图,将矩形ABCD绕其右下角的顶点按顺时针方向旋转90°至图①位置,继续绕右下角的顶点按顺时针方向旋转90°至图②位置,以此类推,这样连续旋转2017次.若AB=4,AD=3,则顶点A在整个旋转过程中所经过的路径总长为( )
A.2017π B.2034π C.3024π D.3026π
【答案】D.
【解析】∵AB=4,BC=3,∴AC=BD=5,转动一次A的路线长是: =2π,转动第二次的路线长是: =π,转动第三次的路线长是: =π,转动第四次的路线长是:0,以此类推,每四次循环,故顶点A转动四次经过的路线长为:π+π+2π=6π,∵2017÷4=504…1,∴顶点A转动四次经过的路线长为:6π×504+2π=3026π,故选D.
【例题5】(2019•铜仁市)按一定规律排列的一列数依次为:﹣,,﹣,,…(a≠0),按此规律排列下去,这列数中的第n个数是 .(n为正整数)
【解析】第1个数为(﹣1)1•,第2个数为(﹣1)2•,
第3个数为(﹣1)3•,第4个数为(﹣1)4•,…,
所以这列数中的第n个数是(﹣1)n•.故答案为(﹣1)n•.
【例题6】(2019•齐齐哈尔)如图,直线l:y=x+1分别交x轴、y轴于点A和点A1,过点A1作A1B1⊥l,交x轴于点B1,过点B1作B1A2⊥x轴,交直线l于点A2;过点A2作A2B2⊥l,交x轴于点B2,过点B2作B2A3⊥x轴,交直线l于点A3,依此规律…,若图中阴影△A1OB1的面积为S1,阴影△A2B1B2的面积为S2,阴影△A3B2B3的面积为S3…,则Sn= .
【解析】直线l:y=x+1,当x=0时,y=1;当y=0时,x=﹣
∴A(﹣,0)A1(0,1)
∴∠OAA1=30°
又∵A1B1⊥l,
∴∠OA1B1=30°,
在Rt△OA1B1中,OB1=•OA1=,
∴S1=;
同理可求出:A2B1=,B1B2=,
∴S2===;
依次可求出:S3=;S4=;S5=……
因此:Sn=
故答案为:.
【例题7】设△ABC的面积为1,如图①,将边BC、AC分别2等分,BE1、AD1相交于点O,△AOB的面积记为S1;如图②将边BC、AC分别3等分,BE1、AD1相交于点O,△AOB的面积记为S2;…,依此类推,则S1=______,Sn可表示为______.(用含n的代数式表示,其中n为正整数)
答案:,
【例题8】(2019•朝阳)如图,直线y=x+1与x轴交于点M,与y轴交于点A,过点A作AB⊥AM,交x轴于点B,以AB为边在AB的右侧作正方形ABCA1,延长A1C交x轴于点B1,以A1B1为边在A1B1的右侧作正方形A1B1C1A2…按照此规律继续作下去,再将每个正方形分割成四个全等的直角三角形和一个小正方形,每个小正方形的每条边都与其中的一条坐标轴平行,正方形ABCA1,A1B1C1A2,…,An﹣1Bn﹣1Cn﹣1An中的阴影部分的面积分别为S1,S2,…,Sn,则Sn可表示为 .
【解析】在直线y=x+1中,当x=0时,y=1;当y=0时,x=﹣3;
∴OA=1,OM=3,
∴tan∠AMO=,
∵∠OAB+∠OAM=90°,∠AMO+∠OAM=90°,
∴∠OAB=∠AMO,
∴tan∠OAB=,∴OB=.
∵,∴,
易得tan,
∴,∴,
∴,
同理可得,,…,=.
故答案为:.
1.(2019•阜新)如图,在平面直角坐标系中,将△ABO沿x轴向右滚动到△AB1C1的位置,再到△A1B1C2的位置……依次进行下去,若已知点A(4,0),B(0,3),则点C100的坐标为( )
A.(1200,) B.(600,0) C.(600,) D.(1200,0)
【解析】根据题意,可知:每滚动3次为一个周期,点C1,C3,C5,…在第一象限,点C2,C4,C6,…在x轴上.
∵A(4,0),B(0,3),∴OA=4,OB=3,
∴AB==5,∴点C2的横坐标为4+5+3=12=2×6,
同理,可得出:点C4的横坐标为4×6,点C6的横坐标为6×6,…,
∴点C2n的横坐标为2n×6(n为正整数),
∴点C100的横坐标为100×6=600,
∴点C100的坐标为(600,0).
故选:B.
2.(2019•武汉)观察等式:2+22=23﹣2;2+22+23=24﹣2;2+22+23+24=25﹣2…已知按一定规律排列的一组数:250、251、252、…、299、2100.若250=a,用含a的式子表示这组数的和是( )
A.2a2﹣2a B.2a2﹣2a﹣2 C.2a2﹣a D.2a2+a
【解析】∵2+22=23﹣2;
2+22+23=24﹣2;
2+22+23+24=25﹣2;
…
∴2+22+23+…+2n=2n+1﹣2,
∴250+251+252+…+299+2100=(2+22+23+…+2100)﹣(2+22+23+…+249)=(2101﹣2)﹣(250﹣2)
=2101﹣250,
∵250=a,∴2101=(250)2•2=2a2,
∴原式=2a2﹣a.
故选:C.
3.(2019•赤峰)如图,小聪用一张面积为1的正方形纸片,按如下方式操作:
①将正方形纸片四角向内折叠,使四个顶点重合,展开后沿折痕剪开,把四个等腰直角三角形扔掉;
②在余下纸片上依次重复以上操作,当完成第2019次操作时,余下纸片的面积为( )
A.22019 B. C. D.
【解析】正方形纸片四角向内折叠,使四个顶点重合,展开后沿折痕剪开,
第一次:余下面积,
第二次:余下面积,
第三次:余下面积,
当完成第2019次操作时,余下纸片的面积为,
故选:C.
4.(2019•日照)如图,在单位为1的方格纸上,△A1A2A3,△A3A4A5,△A5A6A7,…,都是斜边在x轴上,斜边长分别为2,4,6,…的等直角三角形,若△A1A2A3的顶点坐标分别为A1(2,0),A2(1,1),A3(0,0),则依图中所示规律,A2019的坐标为( )
A.(﹣1008,0) B.(﹣1006,0) C.(2,﹣504) D.(1,505)
【解析】观察图形可以看出A1﹣﹣A4;A5﹣﹣﹣A8;…每4个为一组,
∵2019÷4=504…3
∴A2019在x轴负半轴上,纵坐标为0,
∵A3、A7、A11的横坐标分别为0,﹣2,﹣4,
∴A2019的横坐标为﹣(2019﹣3)×=﹣1008.
∴A2019的坐标为(﹣1008,0).
故选:A.
5.(2019•鄂州)如图,在平面直角坐标系中,点A1、A2、A3…An在x轴上,B1、B2、B3…Bn在直线y=x上,若A1(1,0),且△A1B1A2、△A2B2A3…△AnBnAn+1都是等边三角形,从左到右的小三角形(阴影部分)的面积分别记为S1、S2、S3…Sn.则Sn可表示为( )
A.22n B.22n﹣1 C.22n﹣2 D.22n﹣3
【解析】∵△A1B1A2、△A2B2A3…△AnBnAn+1都是等边三角形,
∴A1B1∥A2B2∥A3B3∥…∥AnBn,B1A2∥B2A3∥B3A4∥…∥BnAn+1,△A1B1A2、△A2B2A3…△AnBnAn+1都是等边三角形,
∵直线y=x与x轴的成角∠B1OA1=30°,∠OA1B1=120°,
∴∠OB1A1=30°,
∴OA1=A1B1,
∵A1(1,0),
∴A1B1=1,
同理∠OB2A2=30°,…,∠OBnAn=30°,
∴B2A2=OA2=2,B3A3=4,…,BnAn=2n﹣1,
易得∠OB1A2=90°,…,∠OBnAn+1=90°,
∴B1B2=,B2B3=2,…,BnBn+1=2n﹣1,
∴S1=×1×=,S2=×2×2=2,…,Sn=×2n﹣1×2n﹣1=;
故选:D.
6.(2019•娄底)如图,在单位长度为1米的平面直角坐标系中,曲线是由半径为2米,圆心角为120°的多次复制并首尾连接而成.现有一点P从A(A为坐标原点)出发,以每秒π米的速度沿曲线向右运动,则在第2019秒时点P的纵坐标为( )
A.﹣2 B.﹣1 C.0 D.1
【解析】点运动一个用时为÷π=2秒.
如图,作CD⊥AB于D,与交于点E.
在Rt△ACD中,∵∠ADC=90°,∠ACD=∠ACB=60°,
∴∠CAD=30°,
∴CD=AC=×2=1,
∴DE=CE﹣CD=2﹣1=1,
∴第1秒时点P运动到点E,纵坐标为1;
第2秒时点P运动到点B,纵坐标为0;
第3秒时点P运动到点F,纵坐标为﹣1;
第4秒时点P运动到点G,纵坐标为0;
第5秒时点P运动到点H,纵坐标为1;
…,
∴点P的纵坐标以1,0,﹣1,0四个数为一个周期依次循环,
∵2019÷4=504…3,
∴第2019秒时点P的纵坐标为是﹣1.
故选:B.
7.(2019•菏泽)在平面直角坐标系中,一个智能机器人接到的指令是:从原点O出发,按“向上→向右→向下→向右”的方向依次不断移动,每次移动1个单位长度,其移动路线如图所示,第一次移动到点A1,第二次移动到点A2……第n次移动到点An,则点A2019的坐标是( )
A.(1010,0) B.(1010,1) C.(1009,0) D.(1009,1)
【解析】A1(0,1),A2(1,1),A3(1,0),A4(2,0),A5(2,1),A6(3,1),…,
2019÷4=504…3,
所以A2019的坐标为(504×2+1,0),
则A2019的坐标是(1009,0).
故选:C.
8.(2019•张家界)如图,在平面直角坐标系中,将边长为1的正方形OABC绕点O顺时针旋转45°后得到正方形OA1B1C1,依此方式,绕点O连续旋转2019次得到正方形OA2019B2019C2019,那么点A2019的坐标是( )
A.(,﹣) B.(1,0) C.(﹣,﹣) D.(0,﹣1)
【解析】∵四边形OABC是正方形,且OA=1,
∴A(0,1),
∵将正方形OABC绕点O顺时针旋转45°后得到正方形OA1B1C1,
∴A1(,),A2(1,0),A3(,﹣),…,
发现是8次一循环,所以2019÷8=252…余3,
∴点A2019的坐标为(,﹣)
故选:A.
9.(2019•雅安)如图,在平面直角坐标系中,直线l1:y=x+1与直线l2:y=x交于点A1,过A1作x轴的垂线,垂足为B1,过B1作l2的平行线交l1于A2,过A2作x轴的垂线,垂足为B2,过B2作l2的平行线交l1于A3,过A3作x轴的垂线,垂足为B3…按此规律,则点An的纵坐标为( )
A.()n B.()n+1 C.()n﹣1+ D.
【解析】联立直线l1与直线l2的表达式并解得:x=,y=,故A1(,);
则点B1(,0),则直线B1A2的表达式为:y=x+b,
将点B1坐标代入上式并解得:直线B1A2的表达式为:y3=x﹣,
将表达式y3与直线l1的表达式联立并解得:x=,y=,即点A2的纵坐标为;
同理可得A3的纵坐标为,
…按此规律,则点An的纵坐标为()n,
故选:A.
10.(2019•内江)如图,将△ABC沿着过BC的中点D的直线折叠,使点B落在AC边上的B1处,称为第一次操作,折痕DE到AC的距离为h1;还原纸片后,再将△BDE沿着过BD的中点D1的直线折叠,使点B落在DE边上的B2处,称为第二次操作,折痕D1E1到AC的距离记为h2;按上述方法不断操作下去……经过第n次操作后得到折痕Dn﹣1En﹣1,到AC的距离记为hn.若h1=1,则hn的值为( )
A.1+ B.1+ C.2﹣ D.2﹣
【解析】∵D是BC的中点,折痕DE到AC的距离为h1
∴点B到DE的距离=h1=1,
∵D1是BD的中点,折痕D1E1到AC的距离记为h2,
∴D1E1到AC的距离h2=h1+点B到D1E1的距离=1+h1=1+,
同理:h3=h2+h1=1++,
h4=h3+h1=1+++
……
hn=1++++…+=2﹣
故选:C.
11.(2019•绥化)在平面直角坐标系中,若干个边长为1个单位长度的等边三角形,按如图中的规律摆放.点P从原点O出发,以每秒1个单位长度的速度沿着等边三角形的边“OA1→A1A2→A2A3→A3A4→A4A5…”的路线运动,设第n秒运动到点Pn(n为正整数),则点P2019的坐标是 (,) .
【解析】由题意知,
A1(,),A2(1,0),A3(,),A4(2,0),A5(,﹣),A6(3,0),A7(,)
…
由上可知,每个点的横坐标为序号的一半,纵坐标每6个点依次为:,0,,0,﹣这样循环,
∴A2019(,),
故答案为:(,).
12.(2019•抚顺)如图,直线l1的解析式是y=x,直线l2的解析式是y=x,点A1在l1上,A1的横坐标为,作A1B1⊥l1交l2于点B1,点B2在l2上,以B1A1,B1B2为邻边在直线l1,l2间作菱形A1B1B2C1,分别以点A1,B2为圆心,以A1B1为半径画弧得扇形B1A1C1和扇形B1B2C1,记扇形B1A1C1与扇形B1B2C1重叠部分的面积为S1;延长B2C1交l1于点A2,点B3在l2上,以B2A2,B2B3为邻边在l1,l2间作菱形A2B2B3C2,分别以点A2,B3为圆心,以A2B2为半径画弧得扇形B2A2C2和扇形B2B3C2,记扇形B2A2C2与扇形B2B3C2重叠部分的面积为S2………按照此规律继续作下去,则Sn= (﹣)×()2n﹣2 .(用含有正整数n的式子表示)
【解析】过A1作A1D⊥x轴于D,连接B1C1,B2C2,B3C3,B4C4,
∵点A1在l1上,A1的横坐标为,点A1(,),
∴OD=,A1D=,
∴OA1===,
∴在Rt△A1OD中,A1D=OA1,
∴∠A1OD=30°,
∵直线l2的解析式是y=x,
∴∠B1OD=60°,
∴∠A1OB1=30°,
∴A1B1=OA1•tan∠A1OB1=1,
∵A1B1⊥l1交l2于点B1,
∴∠A1B1O=60°,
∴∠A1B1B2=120°,
∴∠B1A1C1=60°,
∵四边形A1B1B2C1是菱形,
∴△A1B1C1是等边三角形,
∴S1=2(S﹣S)=2×(﹣×12)=﹣,
∵A1C1∥B1B2,
∴∠A2A1C1=∠A1OB1=30°,
∴A2C1=,A2B2=A2C1+B2C1=,∠A2B2O=60°,
同理S2=2(S﹣S)=2×[﹣×()2]=(﹣)×()2,
S3=(﹣)×()4,
…
∴Sn=(﹣)×()2(n﹣1)=(﹣)×()2n﹣2.
故答案为:(﹣)×()2n﹣2.
13.(2019•鸡西)如图,四边形OAA1B1是边长为1的正方形,以对角线OA1为边作第二个正方形OA1A2B2,连接AA2,得到△AA1A2;再以对角线OA2为边作第三个正方形OA2A3B3,连接A1A3,得到△A1A2A3;再以对角线OA3为边作第四个正方形,连接A2A4,得到△A2A3A4……记△AA1A2、△A1A2A3、△A2A3A4的面积分别为S1、S2、S3,如此下去,则S2019= 22017 .
【解析】∵四边形OAA1B1是正方形,
∴OA=AA1=A1B1=1,
∴S1==,
∵∠OAA1=90°,
∴OA12=12+12=2,
∴OA2=A2A3=2,
∴S2==1,
同理可求:S3==2,S4=4…,
∴Sn=2n﹣2,
∴S2019=22017,
故答案为:22017.
14.(2019•聊城)数轴上O,A两点的距离为4,一动点P从点A出发,按以下规律跳动:第1次跳动到AO的中点A1处,第2次从A1点跳动到A1O的中点A2处,第3次从A2点跳动到A2O的中点A3处,按照这样的规律继续跳动到点A4,A5,A6,…,An.(n≥3,n是整数)处,那么线段AnA的长度为 4﹣ (n≥3,n是整数).
【解析】由于OA=4,
所有第一次跳动到OA的中点A1处时,OA1=OA=×4=2,
同理第二次从A1点跳动到A2处,离原点的()2×4处,
同理跳动n次后,离原点的长度为()n×4=,
故线段AnA的长度为4﹣(n≥3,n是整数).故答案为:4﹣.
15.(2019•衡阳)在平面直角坐标系中,抛物线y=x2的图象如图所示.已知A点坐标为(1,1),过点A作AA1∥x轴交抛物线于点A1,过点A1作A1A2∥OA交抛物线于点A2,过点A2作A2A3∥x轴交抛物线于点A3,过点A3作A3A4∥OA交抛物线于点A4……,依次进行下去,则点A2019的坐标为 (﹣1010,10102) .
【解析】∵A点坐标为(1,1),
∴直线OA为y=x,A1(﹣1,1),
∵A1A2∥OA,
∴直线A1A2为y=x+2,解得或,
∴A2(2,4),
∴A3(﹣2,4),
∵A3A4∥OA,
∴直线A3A4为y=x+6,解得或,
∴A4(3,9),
∴A5(﹣3,9)
…,
∴A2019(﹣1010,10102),
故答案为(﹣1010,10102).
16.(2019•营口)如图,在平面直角坐标系中,直线l1:y=x+与x轴交于点A1,与y轴交于点A2,过点A1作x轴的垂线交直线l2:y=x于点B1,过点A1作A1B1的垂线交y轴于点B2,此时点B2与原点O重合,连接A2B1交x轴于点C1,得到第1个△C1B1B2;过点A2作y轴的垂线交l2于点B3,过点B3作y轴的平行线交l1于点A3,连接A3B2与A2B3交于点C2,得到第2个△C2B2B3……按照此规律进行下去,则第2019个△C2019B2019B2020的面积是 .
【解析】∵y=x+与x轴交于点A1,与y轴交于点A2,
∴,
在y=中,当x=﹣1时,y=﹣,
∴,
设直线A2B1的解析式为:y=kx+b,
可得:,解得:,
∴直线A2B1的解析式为:,
令y=0,可得:x=﹣,∴C2(﹣,0),
∴=,
∵△A1B1B2∽△A2B2B3,
∴△C1B1B2∽△C2B2B3,
∴,
∴,
同理可得:…,
∴△C2019B2019B2020的面积=,
故答案为:.
17.(2019•鞍山)如图,正方形A0B0C0A1的边长为1,正方形A1B1C1A2的边长为2,正方形A2B2C2A3的边长为4,正方形A3B3C3A4的边长为8……依此规律继续作正方形AnBn∁nAn+1,且点A0,A1,A2,A3,…,An+1在同一条直线上,连接A0C1交A1B1于点D1,连接A1C2交A2B2于点D2,连接A2C3交A3B3于点D3……记四边形A0B0C0D1的面积为S1,四边形A1B1C1D2的面积为S2,四边形A2B2C2D3的面积为S3……四边形An﹣1Bn﹣1Cn﹣1Dn的面积为Sn,则S2019= ×42018 .
【解析】∵四边形A0B0C0A1与四边形A1B1C1A2都是正方形,
∴A1D1∥A2C1,
∴=,
∴=,
∴A1D1=,
同理可得:A2D2=,
∴S1=1﹣×1×=40﹣×40,S2=4﹣×4,S3=42﹣×42,…,Sn=4n﹣1﹣×4n﹣1=×4n﹣1,
∴S2019=×42018,故答案为:×42018.
18.(2019•东营)如图,在平面直角坐标系中,函数y=x和y=﹣x的图象分别为直线l1,l2,过l1上的点A1(1,)作x轴的垂线交l2于点A2,过点A2作y轴的垂线交l1于点A3,过点A3作x轴的垂线交l2于点A4,…依次进行下去,则点A2019的横坐标为 ﹣31009 .
【解析】由题意可得,
A1(1,),A2(1,﹣),A3(﹣3,﹣),A4(﹣3,3),A5(9,3),A6(9,﹣9),…,
可得A2n+1的横坐标为(﹣3)n
∵2019=2×1009+1,
∴点A2019的横坐标为:(﹣3)1009=﹣31009,
故答案为:﹣31009.
19.(2019•泰安)在平面直角坐标系中,直线l:y=x+1与y轴交于点A1,如图所示,依次作正方形OA1B1C1,正方形C1A2B2C2,正方形C2A3B3C3,正方形C3A4B4C4,……,点A1,A2,A3,A4,……在直线l上,点C1,C2,C3,C4,……在x轴正半轴上,则前n个正方形对角线长的和是 2(2n﹣1) .
【解析】由题意可得,
点A1的坐标为(0,1),点A2的坐标为(1,2),点A3的坐标为(3,4),点A4的坐标为(7,8),……,
∴OA1=1,C1A2=2,C2A3=4,C3A4=8,……,
∴前n个正方形对角线长的和是:2(OA1+C1A2+C2A3+C3A4+…+Cn﹣1An)=2(1+2+4+8+…+2n﹣1),
设S=1+2+4+8+…+2n﹣1,则2S=2+4+8+…+2n﹣1+2n,
则2S﹣S=2n﹣1,
∴S=2n﹣1,
∴1+2+4+8+…+2n﹣1=2n﹣1,
∴前n个正方形对角线长的和是:2×(2n﹣1),
故答案为:2(2n﹣1),
20.(2019•天门)如图,在平面直角坐标系中,四边形OA1B1C1,A1A2B2C2,A2A3B3C3,…都是菱形,点A1,A2,A3,…都在x轴上,点C1,C2,C3,…都在直线y=x+上,且∠C1OA1=∠C2A1A2=∠C3A2A3=…=60°,OA1=1,则点C6的坐标是 (47,16) .
【解析】∵OA1=1,
∴OC1=1,
∴∠C1OA1=∠C2A1A2=∠C3A2A3=…=60°,
∴C1的纵坐标为:sin60°•OC1=,横坐标为cos60°•OC1=,
∴C1(,),
∵四边形OA1B1C1,A1A2B2C2,A2A3B3C3,…都是菱形,
∴A1C2=2,A2C3=4,A3C4=8,…,
∴C2的纵坐标为:sin60°•A1C2=,代入y=x+求得横坐标为2,
∴C2(2,),
C3的纵坐标为:sin60°•A2C3=2,代入y=x+求得横坐标为5,
∴C3(5,2),
∴C4(11,4),
C5(23,8),
∴C6(47,16);
故答案为(47,16).
21.(2019•铁岭)如图,在△A1C1O中,A1C1=A1O=2,∠A1OC1=30°,过点A1作A1C2⊥OC1,垂足为点C2,过点C2作C2A2∥C1A1交OA1于点A2,得到△A2C2C1;过点A2作A2C3⊥OC1,垂足为点C3,过点C3作C3A3∥C1A1交OA1于点A3,得到△A3C3C2;过点A3作A3C4⊥OC1,垂足为点C4,过点C4作C4A4∥C1A1交OA1于点A4,得到△A4C4C3;……按照上面的作法进行下去,则△An+1Cn+1∁n的面积为 .(用含正整数n的代数式表示)
【解析】∵A1C1=A1O=2,A1C2⊥OC1,
∴OC2=C2C1,
∵∠A1OC1=30°,
∴A1C2=OA1=1,
∴C1C2===,
∵C2A2∥C1A1,
∴△OA2C2∽△OA1C1,
∴=,
∴A2C2=A1C1=1,
同理,A2C3=A1C2=,
∴S=C1C2•A2C3=××=,
同理,C2C3===,
A3C3=A2C2=,
A3C4=A2C3=×=,
∴S=C2C3•A3C4=××=,
同理,C3C4===,
A4C4=A3C3=,
A4C5=A3C4=,
∴S=C3C4•A4C5=××=…,
∴S=,故答案为:.
22.(2019•德州)如图,点A1、A3、A5…在反比例函数y=(x>0)的图象上,点A2、A4、A6……在反比例函数y=(x>0)的图象上,∠OA1A2=∠A1A2A3=∠A2A3A4=…=∠α=60°,且OA1=2,则An(n为正整数)的纵坐标为 (﹣1)n+1() .(用含n的式子表示)
【解析】过A1作A1D1⊥x轴于D1,
∵OA1=2,∠OA1A2=∠α=60°,
∴△OA1E是等边三角形,
∴A1(1,),
∴k=,
∴y=和y=﹣,
过A2作A2D2⊥x轴于D2,
∵∠A2EF=∠A1A2A3=60°,
∴△A2EF是等边三角形,
设A2(x,﹣),则A2D2=,
Rt△EA2D2中,∠EA2D2=30°,
∴ED2=,
∵OD2=2+=x,
解得:x1=1﹣(舍),x2=1+,
∴EF====2(﹣1)=2﹣2,
A2D2===,
即A2的纵坐标为﹣;
过A3作A3D3⊥x轴于D3,
同理得:△A3FG是等边三角形,
设A3(x,),则A3D3=,
Rt△FA3D3中,∠FA3D3=30°,
∴FD3=,
∵OD3=2+2﹣2+=x,
解得:x1=(舍),x2=+;
∴GF===2(﹣)=2﹣2,
A3D3===(﹣),
即A3的纵坐标为(﹣);
…
∴An(n为正整数)的纵坐标为:(﹣1)n+1();
故答案为:(﹣1)n+1();
23.(2019•丹东)如图,在平面直角坐标系中,OA=1,以OA为一边,在第一象限作菱形OAA1B,并使∠AOB=60°,再以对角线OA1为一边,在如图所示的一侧作相同形状的菱形OA1A2B1,再依次作菱形OA2A3B2,OA3A4B3,……,则过点B2018,B2019,A2019的圆的圆心坐标为 (﹣()2018,()2019) .
【解析】过A1作A1C⊥x轴于C,
∵四边形OAA1B是菱形,
∴OA=AA1=1,∠A1AC=∠AOB=60°,
∴A1C=,AC=,
∴OC=OA+AC=,
在Rt△OA1C中,OA1==,
∵∠OA2C=∠B1A2O=30°,∠A3A2O=120°,
∴∠A3A2B1=90°,
∴∠A2B1A3=60°,
∴B1A3=2,A2A3=3,
∴OA3=OB1+B1A3=3=()3
∴菱形OA2A3B2的边长=3=()2,
设B1A3的中点为O1,连接O1A2,O1B2,
于是求得,O1A2=O1B2=O1B1==()1,
∴过点B1,B2,A2的圆的圆心坐标为O1(0,2),
∵菱形OA3A4B3的边长为3=()3,
∴OA4=9=()4,
设B2A4的中点为O2,
连接O2A3,O2B3,
同理可得,O2A3=O2B3=O2B2=3=()2,
∴过点B2,B3,A3的圆的圆心坐标为O2(﹣3,3),…以此类推,菱形菱形OA2019A2020B2019的边长为()2019,
OA2020=()2020,
设B2018A2020的中点为O2018,连接O2018A2019,O2018B2019,
求得,O2018A2019=O2018B2019=O2018B2018=()2018,
∴点O2018是过点B2018,B2019,A2019的圆的圆心,
∵2018÷12=168…2,
∴点O2018在射线OB2上,
则点O2018的坐标为(﹣()2018,()2019),
即过点B2018,B2019,A2019的圆的圆心坐标为(﹣()2018,()2019),
故答案为:(﹣()2018,()2019).
24.(2019•锦州)如图,边长为4的等边△ABC,AC边在x轴上,点B在y轴的正半轴上,以OB为边作等边△OBA1,边OA1与AB交于点O1,以O1B为边作等边△O1BA2,边O1A2与A1B交于点O2,以O2B为边作等边△O2BA3,边O2A3与A2B交于点O3,…,依此规律继续作等边△On﹣1BAn,记△OO1A的面积为S1,△O1O2A1的面积为S2,△O2O3A2的面积为S3,…,△On﹣1OnAn﹣1的面积为Sn,则Sn= ()n﹣1• .(n≥2,且n为整数)
【解析】由题意:△OO1A∽△O1O2A1∽△O2O3A2,…,∽△On﹣1OnAn﹣1,
相似比:==sin60°=,
∵S1==×1×=,=,
∴S2=S1,S3=()2•S1,…,Sn=()n﹣1•S1=()n﹣1•,
故答案为:()n﹣1•.
25.(2019•辽阳)如图,在平面直角坐标系中,△ABC,△A1B1C1,△A2B2C2,△A3B3C3…△AnBn∁n都是等腰直角三角形,点B,B1,B2,B3…Bn都在x轴上,点B1与原点重合,点A,C1,C2,C3…∁n都在直线l:y=x+上,点C在y轴上,AB∥A1B1∥A2B2∥…∥AnBn∥y轴,AC∥A1C1∥A2C2∥…∥An∁n∥x轴,若点A的横坐标为﹣1,则点∁n的纵坐标是 .
【解析】由题意A(﹣1,1),可得C(0,1),
设C1(m,m),则m=m+,解得m=2,
∴C1(2,2),
设C2(n,n﹣2),则n﹣2=n+,解得n=5,
∴C2(5,3),
设C3(a,a﹣5),则a﹣5=a+,解得a=,
∴C3(,),同法可得C4(,),…,∁n的纵坐标为,
故答案为.
26.(2019•本溪)如图,点B1在直线l:y=x上,点B1的横坐标为2,过B1作B1A1⊥l,交x轴于点A1,以A1B1为边,向右作正方形A1B1B2C1,延长B2C1交x轴于点A2;以A2B2为边,向右作正方形A2B2B3C2,延长B3C2交x轴于点A3;以A3B3为边,向右作正方形A3B3B4C3,延长B4C3交x轴于点A4;…;按照这个规律进行下去,点∁n的横坐标为 (结果用含正整数n的代数式表示)
【解析】过点B1、C1、C2、C3、C4分别作B1D⊥x轴,C1D1⊥x轴,C2D2⊥x轴,C3D3⊥x轴,C4D4⊥x轴,……垂足分别为D、D1、D2、D3、D4……
∵点B1在直线l:y=x上,点B1的横坐标为2,
∴点B1的纵坐标为1,
即:OD=2,B1D=1,
图中所有的直角三角形都相似,两条直角边的比都是1:2,
∴点C1的横坐标为:2++()0,
点C2的横坐标为:2++()0+()0×+()1=+()0×+()1
点C3的横坐标为:2++()0+()0×+()1+()1×+()2=+()0×+()1×++()2
点C4的横坐标为:=+()0×+()1×+()2×+()3
……
点∁n的横坐标为:=+()0×+()1×+()2×+()3×+()4×……+()n﹣1
=+[()0+()1×+()2+()3+()4……]+()n﹣1
=.
故答案为:.
27.如图所示,n+1个直角边长为1的等腰直角三角形,斜边在同一直线上,设△B2D1C1的面积为S1,△B3D2C2的面积为S2,…,△Bn+1DnCn的面积为Sn,则S1= ,Sn= (用含n的式子表示).
【解析】∵n+1个边长为1的等腰三角形有一条边在同一直线上,
∴S△AB1C1=×1×1=,
连接B1、B2、B3、B4、B5点,显然它们共线且平行于AC1
∵∠B1C1B2=90°
∴A1B1∥B2C1
∴△B1C1B2是等腰直角三角形,且边长=1,
∴△B1B2D1∽△C1AD1,
∴B1D1:D1C1=1:1,
∴S1=×=,
故答案为:;
同理:B2B3:AC2=1:2,
∴B2D2:D2C2=1:2,
∴S2=×=,
同理:B3B4:AC3=1:3,
∴B3D3:D3C3=1:3,
∴S3=×=,∴S4=×=,…∴Sn=故答案为:.
28.如图,n个边长为1的相邻正方形的一边均在同一直线上,点M1,M2,M3,…Mn分别为边B1B2,B2B3,B3B4,…,BnBn+1的中点,△B1C1M1的面积为S1,△B2C2M2的面积为S2,…△BnCnMn的面积为Sn,则Sn= .(用含n的式子表示)
【解析】∵n个边长为1的相邻正方形的一边均在同一直线上,点M1,M2,M3,…Mn分别为边B1B2,B2B3,B3B4,…,BnBn+1的中点,
∴S1=×B1C1×B1M1=×1×=,
S△B1C1M2=×B1C1×B1M2=×1×=,
S△B1C1M3=×B1C1×B1M3=×1×=,
S△B1C1M4=×B1C1×B1M4=×1×=,
S△B1C1Mn=×B1C1×B1Mn=×1×=,
∵BnCn∥B1C1,∴△BnCnMn∽△B1C1Mn,
∴S△BnCnMn:S△B1C1Mn=()2=()2,即Sn:=,
∴Sn=.故答案为:.
29. 如图,已知A1、A2、A3、…、An、An+1是x轴上的点,且OA1=A1A2=A2A3=…=AnAn+1=1,分别过点A1、A2、A3、…、An、An+1作x轴的垂线交直线y=2x于点B1、B2、B3、…、Bn、Bn+1,连接A1B2、B1A2、B2A3、…、AnBn+1、BnAn+1,依次相交于点P1、P2、P3、…、Pn.△A1B1P1、△A2B2P2、△AnBnPn的面积依次记为S1、S2、S3、…、Sn,则Sn为( )
A. B. C. D.
【答案】D.
【考点】1.探索规律题(图形的变化类);2.直线上点的坐标与方程的关系;3.相似三角形的判定和性质.
【解答】
∵A1、A2、A3、…、An、An+1是x轴上的点,且OA1=A1A2=A2A3=…=AnAn+1=1,分别过点A1、A2、A3、…、An、An+1作x轴的垂线交直线y=2x于点B1、B2、B3、…、Bn、Bn+1,
∴B1的横坐标为:1,纵坐标为:2,则B1(1,2).
同理可得:B2的横坐标为:2,纵坐标为:4,则B2(2,4),
B3(2,6)…
∵A1B1∥A2B2,∴△A1B1P1∽△A2B2P1. ∴.
∴△A1B1C1与△A2B2C2对应高的比为:1:2. ∴A1B1边上的高为:.
∴.
同理可得出:,……
∴.故选D.
30. 在直角坐标系中,直线与y轴交于点A,按如图方式作正方形A1B1C1O、A2B2C2C1、A3B3C1C2…,A1、A2、A3…在直线上,点C1、C2、C3…在x轴上,图中阴影部分三角形的面积从左到游依次记为、、、…,则的值为 (用含n的代数式表示,n为正整数).
【答案】.
故答案为:.
31. 如图,点B1是面积为1的等边△OBA的两条中线的交点,以OB1为一边,构造等边△OB1A1(点O,B1,A1按逆时针方向排列),称为第一次构造;点B2是△OB1A1的两条中线的交点,再以OB2为一边,构造等边△OB2A2(点O,B2,A2按逆时针方向排列),称为第二次构造;以此类推,当第n次构造出的等边△OBnAn的边OAn与等边△OBA的边OB第一次重合时,构造停止.则构造出的最后一个三角形的面积是 .
【解答】方法一:
解:∵点B1是面积为1的等边△OBA的两条中线的交点,
∴点B1是△OBA的重心,也是内心,∴∠BOB1=30°,
∵△OB1A1是等边三角形,∴∠A1OB=60°+30°=90°,
∵每构造一次三角形,OBi 边与OB边的夹角增加30°,
∴还需要(360﹣90)÷30=9,即一共1+9=10次构造后等边△OBnAn的边OAn与等边△OBA的边OB第一次重合,
∴构造出的最后一个三角形为等边△OB10A10.
如图,过点B1作B1M⊥OB于点M,
∵cos∠B1OM=cos30°==,
∴===,即=,
∴=()2=,即S△OB1A1=S△OBA=,
同理,可得=()2=,即S△OB2A2=S△OB1A1=()2=,
…,
∴S△OB10A10=S△OB9A9=()10=,即构造出的最后一个三角形的面积是.故答案为.
方法二:
∵∠AOA1=30°,∠A1OA2=30°,∠AOB=60°,
∴每构造一次增加30°,
∴n==10,
∵△OBA∽△OB1A1,
∴⇒,
∵S△OBA=1,
∴S△OB1A1=,q=,∴S△OB10A10=.
相关教案
这是一份第10讲 垂直问题专题-2021年中考数学《二轮冲刺核心重点难点热点15讲》,共21页。
这是一份第06讲 动点问题专题《二轮冲刺核心重点难点热点15讲》,共22页。教案主要包含了数轴工具,总结提炼等内容,欢迎下载使用。
这是一份第04讲 函数数形分析专题《二轮冲刺核心重点难点热点15讲》,共27页。

