所属成套资源:牛津译林版九年级英语练习试卷
牛津译林版九年级下册Unit 1 Asia同步训练题
展开
这是一份牛津译林版九年级下册Unit 1 Asia同步训练题,共5页。
(友情提醒:请家长督促孩子在复习完当天课堂所讲内容后,闭卷完成下列作业)
【家长反馈】是否复习后独立完成作业(是、否) 是否完成课前预习(是、否)
作业完成时间_____________( 分钟 ) 家长签字_________________
【自主学习】
一、跟读磁带,背诵今天所学的单词和课文15分钟,听读情况:______________
二、背诵P17的四会单词、重要句型后,默写下列短语和句子,并用红笔批改订正。
1.理解身体语言 2.作为一种交流形式
3……的意思 4.低下
5.直视 6.交叉的手臂
7.把脸转过去 8.手放在两侧
【基础训练】
一、根据所给中文提示及句意完成单词。(每空一词)
1.It’s necessary t ____________ (交流)with yur parents as ften as pssible.
2I’m very __________ (自信)f winning the running race ,because we have practiced hard.
3.Dn’t lk dwn , r yu’ll be thught _____________(不诚实).
4.Perhaps Miss Li gt _________(生气) with me, she std there with her arms crssed.
5.__________(耐心) is the key t success.
二、根据句意,用所给词的适当形式填空。
1. Yu shuld be ut f __________(angry), because it useless.
2. __________(nd)ne’s head means agreement in mst cuntries.
3.Nw much waste things is used t ___________(prduce) energy, but it used t be thrwn away.
4.Guilin’s fantastic landscape attracts many ___________(tur)every year.
5.Jill always has cnfidence in herself, she is used t __________(raise)her head whatever she faces.
三、单项选择
( ) 1.________ is reprted that ________ yung peple are fnd f the Happy Farm.
A. This, thusands f B.It, thusand f C.It, thusands f D.That, thusand f
( ) 2.--________ his new sunglasses ______ Tny lk mysterius.
--I agree with yu.
A.Wear,makes B.T wear, make C.Wearing, make D. Wearing, makes
( ) 3.---- Hw many drivers are there I yur taxi cmpany?
--- Abut thirty. And ne third f them ________ wmen drivers.
A.have B. has C. are D. is
( ) 4. --- Which ne can I take?
--- Yu can take _______ f them. I’ll keep neither.
A.any B. bth C. either D. all
( ) 5. --- What d yu think f yur trip t Tibet?
--- Wnderful. We were all _____ with the ______ trip.
A.pleasant, pleasant B. pleasant, pleased C.pleased , pleased D.pleased, pleasant
四、翻译句子
1.肢体语言, 作为交流的一种形式,不同文化之间有所不同。
2.有时候, 某个人的用词与他的或她的肢体语言不匹配。
3.直视你的眼睛寓意着他对你很友好。
4.那个女孩可能感觉害羞了,因为她一直低垂着头。[来源:学+科+网Z+X+X+K]
5.交叉手臂意味着你不想向别人敞开心扉。
【能力提高】
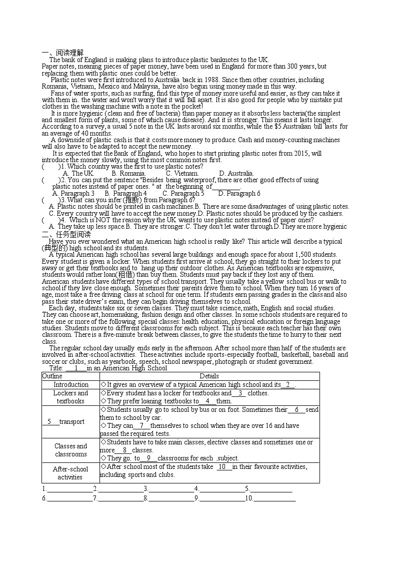
一、阅读理解
The bank f England is making plans t intrduce plastic bankntes t the UK.
Paper ntes, meaning pieces f paper mney, have been used in England fr mre than 300 years, but replacing them with plastic nes culd be better.
Plastic ntes were first intrduced t Australia back in 1988. Since then ther cuntries, including Rmania, Vietnam, Mexic and Malaysia, have als begun using mney made in this way.
Fans f water sprts, such as surfing, find this type f mney mre useful and easier, as they can take it with them in the water and wn't wrry that it will fall apart. It is als gd fr peple wh by mistake put clthes in the washing machine with a nte in the pcket!
It is mre hygienic (clean and free f bacteria) than paper mney as it absrbs less bacteria(the simplest and smallest frm f plants, sme f which cause disease). And it is strnger. This means it lasts lnger. Accrding t a survey, a usual 5 nte in the UK lasts arund six mnths, while the $5 Australian bill lasts fr an average f 40 mnths. httphtku.cm/
A dwnside f plastic cash is that it csts mre mney t prduce. Cash and mney-cunting machines will als have t be adapted t accept the new mney.
It is expected that the Bank f England, wh hpes t start printing plastic ntes frm 2015, will intrduce the mney slwly, using the mst cmmn ntes first.
( )1. Which cuntry was the first t use plastic ntes?
A. The UK. B. Rmania. C. Vietnam. D. Australia.
( )2. Yu can put the sentence "Besides being waterprf, there are ther gd effects f using
plastic ntes instead f paper nes. " at the beginning f________.
A. Paragraph 3 B. Paragraph 4 C. Paragraph 5 D. Paragraph 6
( )3. What can yu infer (推断) frm Paragraph 6?
A. Plastic ntes shuld be printed in cash machines.B. There are sme disadvantages f using plastic ntes.
C. Every cuntry will have t accept the new mney.D. Plastic ntes shuld be prduced by the cashiers.
( )4. Which is NOT the reasn why the UK wants t use plastic ntes instead f paper nes?
A. They take up less space.B. They are strnger.C. They dn't let water are mre hygienic
任务型阅读
Have yu ever wndered what an American high schl is really like? This article will describe a typical (典型的) high schl and its students.
A typical American high schl has several large buildings and enugh space fr abut 1,500 students. Every student is given a lcker. When students first arrive at schl, they g straight t their lckers t put away r get their textbks and t hang up their utdr clthes. As American textbks are expensive, students wuld rather lan(租借) than buy them. Students must pay back if they lst any f them.
American students have different types f schl transprt. They usually take a yellw schl bus r walk t schl if they live clse enugh. Smetimes their parents drive them t schl. When they turn 16 years f age, mst take a free driving class at schl fr ne term. If students earn passing grades in the class and als pass their state driver’s exam, they can begin driving themselves t schl.
Each day, students take six r seven classes. They must take science, math, English and scial studies. They can chse art, hmemaking, fashin design and ther classes. In sme schls students are required t take ne r mre f the fllwing special classes: health educatin, physical educatin r freign language studies. Students mve t different classrms fr each subject. This is because each teacher has their wn classrm. There is a five-minute break between classes, t give the students the time t hurry t their next class.
The regular schl day usually ends early in the afternn. After schl mre than half f the students are invlved in after-schl activities. These activities include sprts-especially ftball, basketball, baseball and sccer r clubs, such as yearbk, speech, schl newspaper, phtgraph r student gvernment.
Title: 1 in an American High Schl
1. 2. 3. 4. 5.
6. 7. 8. 9. 10.
初三英语作业纸
九年级下册
9B Unit1 Study skills
命题人: 审核人: 班级__________姓名_______学号_________
(友情提醒:请家长督促孩子在复习完当天课堂所讲内容后,闭卷完成下列作业)
【家长反馈】是否复习后独立完成作业(是、否) 是否完成课前预习(是、否)
作业完成时间_____________( 分钟 ) 家长签字_________________
【自主学习】
一、跟读磁带,背诵今天所学的单词和课文15分钟,听读情况:______________
二、背诵P17的四会单词、重要句型后,默写下列短语和句子,并用红笔批改订正。
1.理解身体语言understand bdy language 2.作为一种交流形式as a frm f cmmunicatin
3……的意思 the meaning f 4.低下 hld dwn
5.直视 lk in the eyes 6.交叉的手臂 crssed arms
7.把脸转过去 lk away 8.手放在两侧 hands n the sides
【基础训练】
一、根据所给中文提示及句意完成单词。(每空一词)
1.It’s necessary t ___cmmunicate_________ (交流)with yur parents as ften as pssible.
2I’m very __cnfident________ (自信)f winning the running race ,because we have practiced hard.
3.Dn’t lk dwn , r yu’ll be thught _dishnest____________(不诚实).
4.Perhaps Miss Li gt _angry________(生气) with me, she std there with her arms crssed.
5._Patience_________(耐心) is the key t success.
二、根据句意,用所给词的适当形式填空。
1. Yu shuld be ut f ___anger_______(angry), because it useless.
2. _Ndding_________(nd)ne’s head means agreement in mst cuntries.
3.Nw much waste things is used t __prduce_________(prduce) energy, but it used t be thrwn away.
4.Guilin’s fantastic landscape attracts many __turists_________(tur)every year.
5.Jill always has cnfidence in herself, she is used t raising___(raise)her head whatever she faces.
三、单项选择
( C ) 1.________ is reprted that ________ yung peple are fnd f the Happy Farm.
A. This, thusands f B.It, thusand f C.It, thusands f D.That, thusand f
( D ) 2.--________ his new sunglasses ______ Tny lk mysterius.
--I agree with yu.
A.Wear,makes B.T wear, make C.Wearing, make D. Wearing, makes
( C ) 3.---- Hw many drivers are there I yur taxi cmpany?
--- Abut thirty. And ne third f them ________ wmen drivers.
A.have B. has C. are D. is
( C ) 4. --- Which ne can I take?
--- Yu can take _______ f them. I’ll keep neither.
A.any B. bth C. either D. all
( D ) 5. --- What d yu think f yur trip t Tibet?
--- Wnderful. We were all _____ with the ______ trip.
A.pleasant, pleasant B. pleasant, pleased C.pleased , pleased D.pleased, pleasant
四、翻译句子
1.肢体语言, 作为交流的一种形式,不同文化之间有所不同。
Bdy language,as a frm f cmmunicatin, is different frm culture t culture.
2.有时候, 某个人的用词与他的或她的肢体语言不匹配。
Smetimes the wrds a persn uses d nt match his r her bdy language.
3.直视你的眼睛寓意着他对你很友好。
Lking in yur eyes means he is very friendly t yu.
4.那个女孩可能感觉害羞了,因为她一直低垂着头。
That girl may feel shy,because she always hlds dwn her head.
5.交叉手臂意味着你不想向别人敞开心扉。
Crssed arms mean yu dn’t want t pen yurself t thers.
【能力提高】一、阅读理解
The bank f England is making plans t intrduce plastic bankntes t the UK.
Paper ntes, meaning pieces f paper mney, have been used in England fr mre than 300 years, but replacing them with plastic nes culd be better.
Plastic ntes were first intrduced t Australia back in 1988. Since then ther cuntries, including Rmania, Vietnam, Mexic and Malaysia, have als begun using mney made in this way.
Fans f water sprts, such as surfing, find this type f mney mre useful and easier, as they can take it with them in the water and wn't wrry that it will fall apart. It is als gd fr peple wh by mistake put clthes in the washing machine with a nte in the pcket!
It is mre hygienic (clean and free f bacteria) than paper mney as it absrbs less bacteria(the simplest and smallest frm f plants, sme f which cause disease). And it is strnger. This means it lasts lnger. Accrding t a survey, a usual 5 nte in the UK lasts arund six mnths, while the $5 Australian bill lasts fr an average f 40 mnths. httphtku.cm/
A dwnside f plastic cash is that it csts mre mney t prduce. Cash and mney-cunting machines will als have t be adapted t accept the new mney.
It is expected that the Bank f England, wh hpes t start printing plastic ntes frm 2015, will intrduce the mney slwly, using the mst cmmn ntes first.
( D )1. Which cuntry was the first t use plastic ntes?
A. The UK. B. Rmania. C. Vietnam. D. Australia.
( C )2. Yu can put the sentence "Besides being waterprf, there are ther gd effects f using
plastic ntes instead f paper nes. " at the beginning f________.
A. Paragraph 3 B. Paragraph 4 C. Paragraph 5 D. Paragraph 6
( B )3. What can yu infer (推断) frm Paragraph 6?
A. Plastic ntes shuld be printed in cash machines.B. There are sme disadvantages f using plastic ntes.
C. Every cuntry will have t accept the new mney.D. Plastic ntes shuld be prduced by the cashiers.
( A )4. Which is NOT the reasn why the UK wants t use plastic ntes instead f paper nes?
A. They take up less space.B. They are strnger.C. They dn't let water are mre hygienic
任务型阅读
Have yu ever wndered what an American high schl is really like? This article will describe a typical (典型的) high schl and its students.
A typical American high schl has several large buildings and enugh space fr abut 1,500 students. Every student is given a lcker. When students first arrive at schl, they g straight t their lckers t put away r get their textbks and t hang up their utdr clthes. As American textbks are expensive, students wuld rather lan(租借) than buy them. Students must pay back if they lst any f them.
American students have different types f schl transprt. They usually take a yellw schl bus r walk t schl if they live clse enugh. Smetimes their parents drive them t schl. When they turn 16 years f age, mst take a free driving class at schl fr ne term. If students earn passing grades in the class and als pass their state driver’s exam, they can begin driving themselves t schl.
Each day, students take six r seven classes. They must take science, math, English and scial studies. They can chse art, hmemaking, fashin design and ther classes. In sme schls students are required t take ne r mre f the fllwing special classes: health educatin, physical educatin r freign language studies. Students mve t different classrms fr each subject. This is because each teacher has their wn classrm. There is a five-minute break between classes, t give the students the time t hurry t their next class.
The regular schl day usually ends early in the afternn. After schl mre than half f the students are invlved in after-schl activities. These activities include sprts-especially ftball, basketball, baseball and sccer r clubs, such as yearbk, speech, schl newspaper, phtgraph r student gvernment.
Title: 1 in an American High Schl
1.Life 2.students 3.utdr 4. buying 5.Schl
6.parents 7.drive 8.special 9.different 10.part
Outline
Details
Intrductin
◇It gives an verview f a typical American high schl and its 2 .
Lckers and textbks
◇Every student has a lcker fr textbks and 3 clthes.
◇They prefer laning textbks t 4 them.
5 transprt
◇Students usually g t schl by bus r n ft. Smetimes their 6 send them t schl by car.
◇They can 7 themselves t schl when they are ver 16 and have passed the required tests.
Classes and classrms
◇Students have t take main classes, elective classes and smetimes ne r mre 8 classes.
◇They g t 9 classrms fr each subject.
After-schl activities
◇After schl mst f the students take 10 in their favurite activities, including sprts and clubs.
Outline
Details
Intrductin
◇It gives an verview f a typical American high schl and its 2 .
Lckers and textbks
◇Every student has a lcker fr textbks and 3 clthes.
◇They prefer laning textbks t 4 them.
5 transprt
◇Students usually g t schl by bus r n ft. Smetimes their 6 send them t schl by car.
◇They can 7 themselves t schl when they are ver 16 and have passed the required tests.
Classes and classrms
◇Students have t take main classes, elective classes and smetimes ne r mre 8 classes.
◇They g t 9 classrms fr each subject.
After-schl activities
◇After schl mst f the students take 10 in their favurite activities, including sprts and clubs.
相关试卷
这是一份英语Study skills练习,共6页。
这是一份牛津译林版九年级下册Unit 2 Great peopleStudy skills随堂练习题,共9页。
这是一份初中英语牛津译林版九年级下册Study skills练习,共6页。

