初中数学沪教版 (五四制)八年级上册16.2 最简二次根式和同类二次根式同步练习题
展开这是一份初中数学沪教版 (五四制)八年级上册16.2 最简二次根式和同类二次根式同步练习题,共15页。试卷主要包含了3二次根式的乘法和除法, _________等内容,欢迎下载使用。
下列二次根式化简后,与的被开方数相同的有_______________,与的被开方数相同的有_________________,与的被开方数相同的有____________.
下列各式:①;②;③;④,其中正确的有__________________(填序号)
计算:____________.
计算:__________.
计算:_________.
计算:=_____________.
计算:=_____________.
计算:___________.
解答题
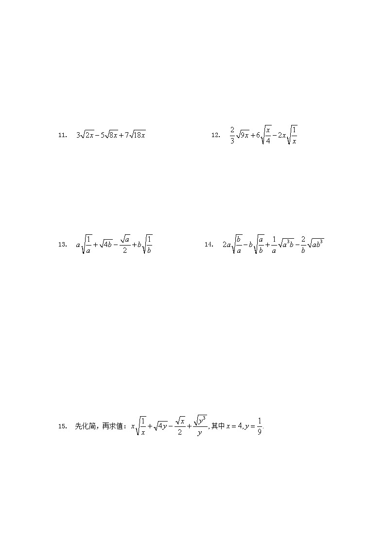
10.
12.
14.
先化简,再求值:其中
先化简,再求值:其中
先化简,再求值:其中
已知求的值.
16.3(2)二次根式的乘法和除法
填空题(所有字母均表示正数)
__________. 2. _____________.
______________. 4. ___________.
______________. 6. ____________.
____________. 8. _________.
简答题
10.
12.
若为实数,且求的值.
当时,求的值.
已知且为偶数,求的值.
16.3(3)分母有理化
填空题
把下列各式分母有理化
______________. 2. _______________.
____________. 4. _____________.
_____________. 6. ______________.
8. ____________.
简答题
把下列各式分母有理化
10.
12.
化简:
比较与的大小.
若与互为相反数,求的值.
当时,求代数式的值.
已知其中是实数,化简并求值.
18. 计算:
16.3(4)二次根式的混合运算
填空题
。
。
若,那么 。
。
。
。
。
。
二、简答题
化简各式(第9题--第14题)
9、 10、
11、 12、
13、 14、
15、已知,求的值。
16、已知,求(1);(2)的值。
17、已知的整数部分为a,小数部分为b,求的值。
参考答案
16.3(1) 二次根式的加法和减法
2、④ 3、 4、 5、
7、 8、 9、 10、 11、 12、
14、0 15、原式=,把x=4,代入得,原式=2
原式=,把,y=27代入得,原式=
17、原式=
18、由已知得,解得,所以,原式=
16.3(2) 二次根式的乘法和除法
2、36 3、5 4、 5、 6、 7、 8、
9、108 10、 11、 12、 13、 14、
由已知得,则原式= 16、
17、由已知得,而x为偶数,所以x=8,从而,原式=
16.3(3) 分母有理化
2、 3、 4、 5、 6、 7、
9、 10、 11、 12、
14、因为,且,所以 15、由已知得,b=-1,所以原式= 16、由已知得,所以
17、由已知得a=1004,x=5,所以
18、原式=
16.3(4) 二次根式的混合运算
1、 2、 3、 4、 5、 6、 7、
8、 9、 10、 11、 12、2 13、 14、
15、,
16、4 17、由已知得,所以原式=
相关试卷
这是一份初中数学沪教版 (五四制)八年级上册16.2 最简二次根式和同类二次根式同步达标检测题,共3页。试卷主要包含了单选题,填空题,计算题等内容,欢迎下载使用。
这是一份沪教版 (五四制)八年级上册19.9 勾股定理精练,共13页。试卷主要包含了选择题,填空题,解答题等内容,欢迎下载使用。
这是一份初中数学沪教版 (五四制)八年级上册本册综合课后练习题,共7页。试卷主要包含了的有理化因式是,若,则a的取值范围是,若,则x=_______,比较大小,化简得________等内容,欢迎下载使用。

