- 专题16 对数函数(练) 教案 14 次下载
- 专题16 对数函数(讲) 教案 21 次下载
- 专题15 对数(讲) 教案 15 次下载
- 专题14 指数函数(练) 试卷 18 次下载
- 专题14 指数函数(讲) 教案 17 次下载
高中数学人教A版 (2019)必修 第一册4.3 对数测试题
展开专题15对数(练)
1.设,,则
A. B.
C. D.
2.已知,,,则a,b,c的大小关系为
A. B. C. D.
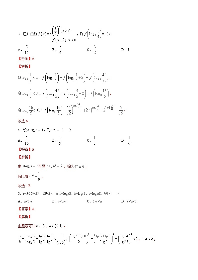
3.已知函数,则()
A. B. C. D.5
4.设,则( )
A. B. C. D.
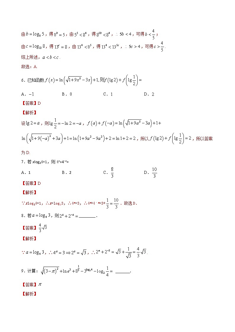
5.已知55<84,134<85.设a=log53,b=log85,c=log138,则( )
A.a<b<c B.b<a<c C.b<c<a D.c<a<b
6.已知函数
A. B. C. D.
7.若xlog34=1,则4x+4–x=
A.1 B.2 C. D.
8.若,则 .
9.计算: _______.
10.已知,则的最大值是____.
11.已知函数(且)恒过定点,则__________.
12.已知,,则的值是______.
13.化简求值:
(1);
(2).
14.(1)求值:;
(2)设,求的值;
(3)若,求的值.
15.已知loga2=m,loga3=n.
(1)求a2m-n的值;
(2)求loga18.
1.如果,那么的最小值为( )
A.4 B. C.9 D.18
2.计算:()
A. B. C. D.
3.已知,,,则的最小值是( ).
A.3 B. C. D.9
4.计算:log916·log881的值为( )
A.18 B. C. D.
5.计算:的值为( )
A. B. C. D.
6.化简的值得( )
A. B. C. D.
7.设,且,则( )
A. B. C.或 D.10
8.已知函数(且)恒过定点,则__________.
9.方程的解为 .
10.已知,,则正实数______.
11.若,,,则的最小值为_________.
12.已知x>1,y>1,xy=10,则的最小值是_______.
13.(1)计算:;
(2)计算:.
14.将下列指数式与对数式互化:
(1)log216=4; (2)log27=-3;
(3) =6; (4)43=64;
(5)3-2= (6)=16.
15.(1)计算
(2)已知,求的值.
人教A版 (2019)必修 第一册4.4 对数函数巩固练习: 这是一份人教A版 (2019)必修 第一册4.4 对数函数巩固练习,共2页。
高考数学一轮复习 专题3.6 对数与对数函数(练): 这是一份高考数学一轮复习 专题3.6 对数与对数函数(练),文件包含专题36对数与对数函数练教师版docx、专题36对数与对数函数练学生版docx等2份试卷配套教学资源,其中试卷共23页, 欢迎下载使用。
专题3.6 对数与对数函数(练)-2022年新高考数学一轮复习讲练测: 这是一份专题3.6 对数与对数函数(练)-2022年新高考数学一轮复习讲练测,文件包含专题36对数与对数函数练解析版doc、专题36对数与对数函数练原卷版doc等2份试卷配套教学资源,其中试卷共18页, 欢迎下载使用。

